Предмет: Геометрия,
автор: BalmyNeko
Геометрия 11 класс (Ответ есть, нужно решение)
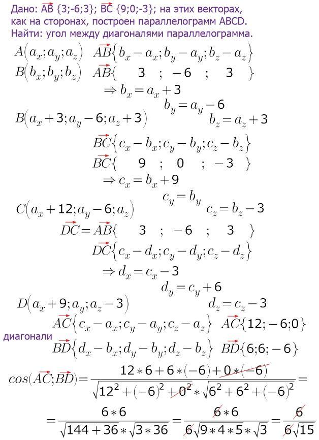
Даны векторы AB {3;-6;3} и BC {9;0;-3} На них как на сторонах построен параллелограмм ABCD. Найдите угол между его диагонали.
(Ответ данной задачки: arccos 1/
)
Нужно решение.
Ответы
Автор ответа:
3
Объяснение:
координаты вектора вычисляются так: из соответствующей координаты конца вектора нужно вычесть соответствующую координату начала вектора.
получим координаты вершин параллелограмма, выраженные через координаты одной точки (точки А, например)
координаты векторов-диагоналей параллелограмма вычисляются аналогично...
косинус угла между векторами = частному от деления скалярного произведения векторов на произведение длин векторов.
скалярное произведение векторов=сумме произведений соответствующих координат.
длина вектора=корню квадратному из суммы квадратов координат (т.Пифагора)
Приложения:
Похожие вопросы
Предмет: Русский язык,
автор: Аноним
Предмет: Другие предметы,
автор: dashalevchenkoeng
Предмет: Физика,
автор: schoolb960
Предмет: Биология,
автор: Аноним
Предмет: Математика,
автор: геля71