Предмет: Алгебра,
автор: fdv30112004
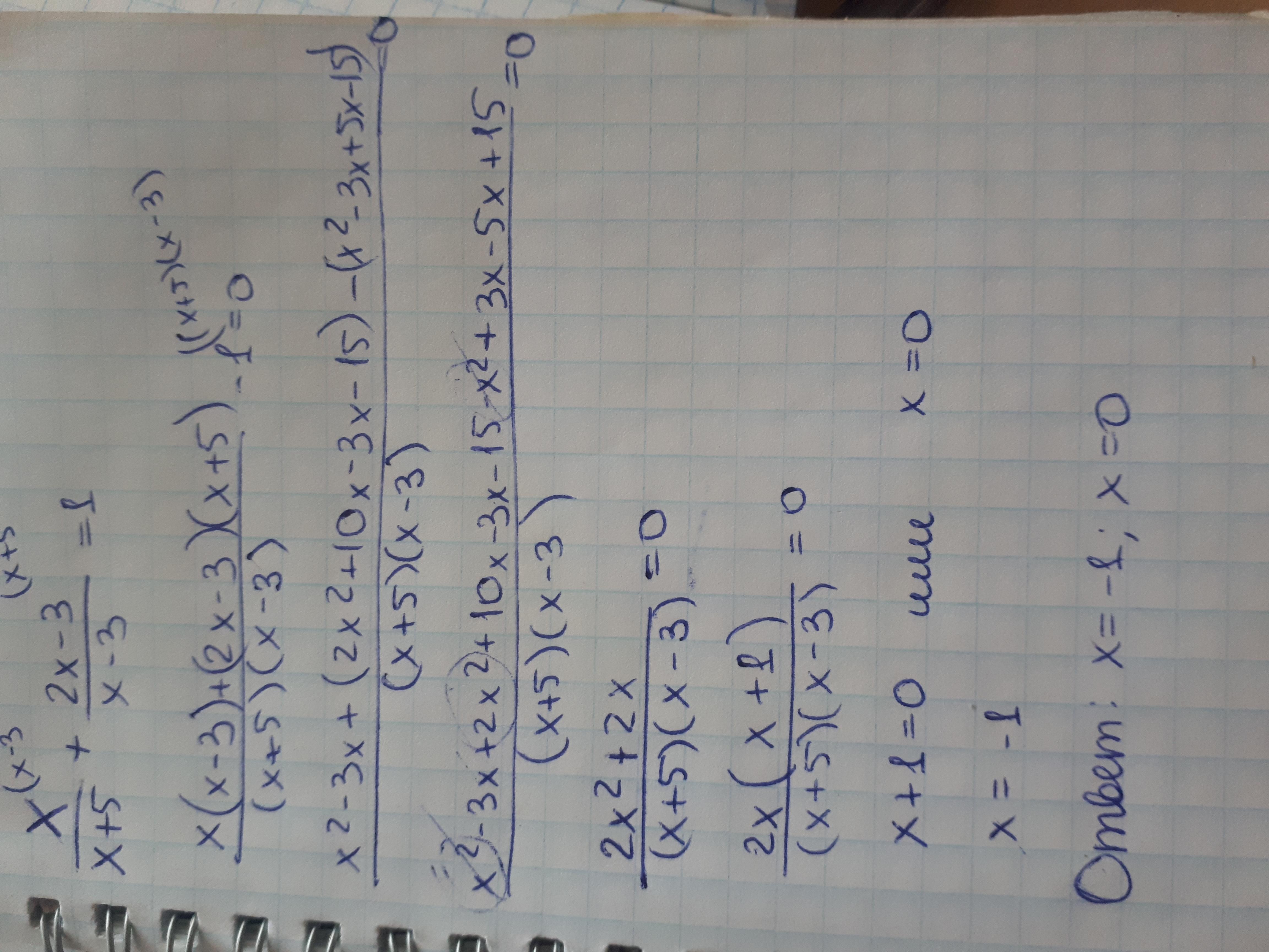
x:(x+5)+(2x-3):(x-3)=1
Ответы
Автор ответа:
1
посмотри объяснение на фото:
Приложения:
Похожие вопросы
Предмет: Математика,
автор: bogdan6447
Предмет: Химия,
автор: VetosGG
Предмет: Химия,
автор: zzzhhhaaannnaaa
Предмет: Алгебра,
автор: fyufbhg
Предмет: Математика,
автор: YanaYana85