Предмет: Математика,
автор: dk06
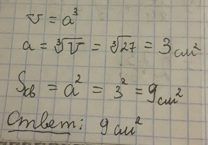
обьем куба равен 27см найдите площадь квадрата -грани куба . срочно нужно
Ответы
Автор ответа:
2
Решение на фотографии .
Приложения:
Автор ответа:
5
Ответ:
9 см²
Пошаговое объяснение:
Объём куба равен длине ребра, возведённой в куб.
Значит, если ребро обозначить как а, то а=
Площадь квадрата равна а², значит, если площадь обозначить за S, то
S=()²=9 см²
Похожие вопросы
Предмет: Окружающий мир,
автор: irinasinina87
Предмет: Математика,
автор: juliarudenko39
Предмет: Математика,
автор: Аноним
Предмет: Математика,
автор: AlsuMA
Предмет: Литература,
автор: VeronikaOscar