Предмет: Математика,
автор: mary7337
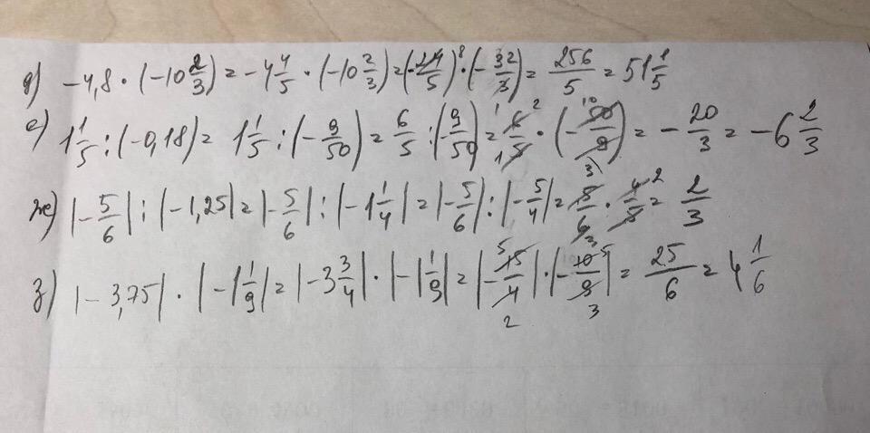
Решите пж. Лучше пришлите скрин
Приложения:
Олеся9006:
«Лучше»- не вариант. Если точно нужно скрин, так и пишите, что ТОЛЬКО СКРИН, тогда все ответы в печатном виде- не верные, можно удалить
Ответы
Автор ответа:
2
Ответ:
Пошаговое объяснение:
надеюсь помогла)
Приложения:
спасибо
Пожалуйста;)
Похожие вопросы
Предмет: Немецкий язык,
автор: sophia12115
Предмет: Математика,
автор: sasaajnabek
Предмет: Физика,
автор: speedruner3344
Предмет: Обществознание,
автор: ivanovaea1964
Предмет: Математика,
автор: элизабетчто