Предмет: Алгебра,
автор: laki65
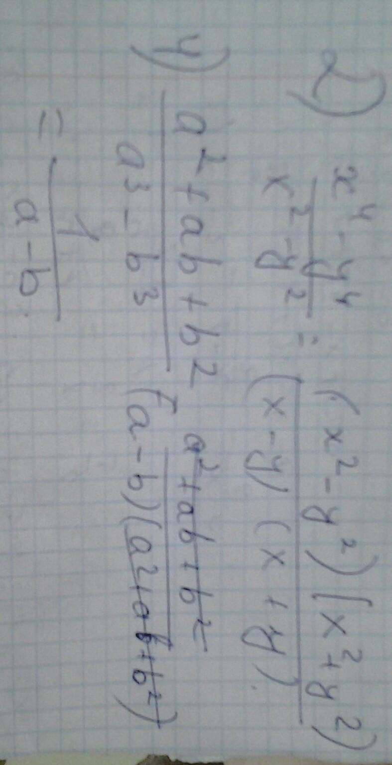
только 2 и 4 задание
Приложения:
Ответы
Автор ответа:
0
вот надеюсь помогла 4 точно правильно но вот 2 я сомневаюсь
Приложения:
Похожие вопросы
Предмет: Математика,
автор: liya2795
Предмет: Русский язык,
автор: Аноним
Предмет: Математика,
автор: Dorikk1
Предмет: Литература,
автор: Tomato228
Предмет: Физика,
автор: coolruslan49