Предмет: Алгебра,
автор: лилия4567
помогите с алгеброй пожалуйста
Приложения:
Ответы
Автор ответа:
1
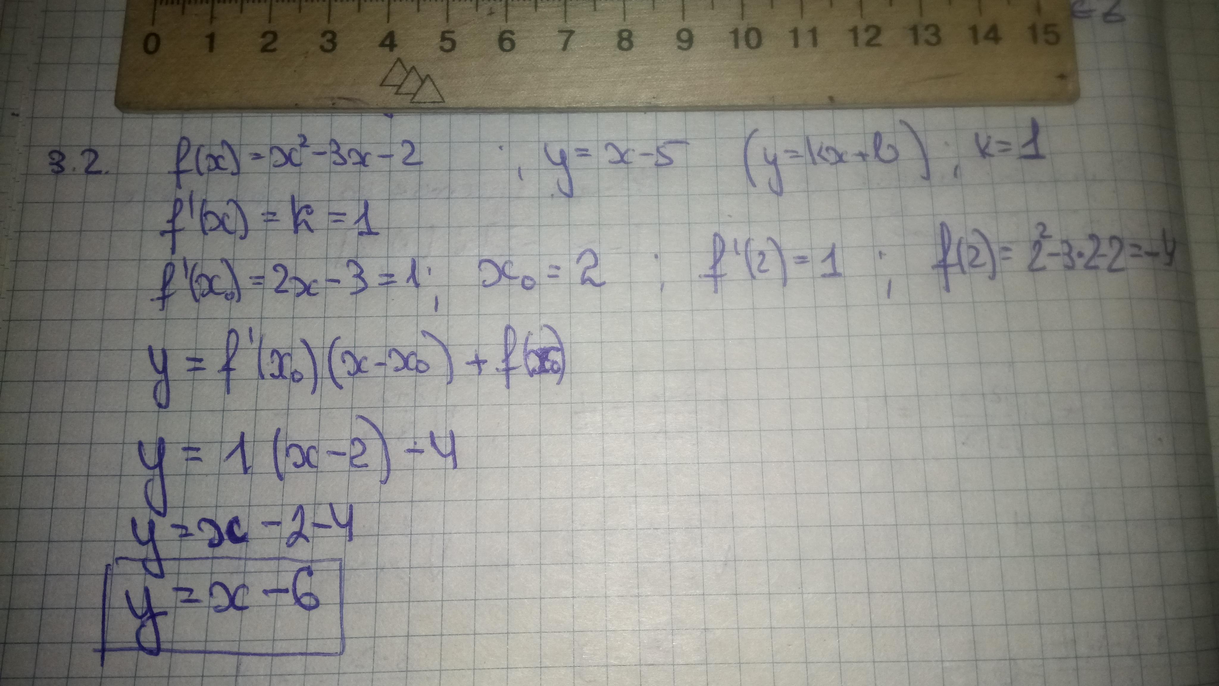
Решение задания приложено
Приложения:
Похожие вопросы
Предмет: Русский язык,
автор: azee21zaa
Предмет: Математика,
автор: Chocolate52626
Предмет: Математика,
автор: 0skaslajsc
Предмет: Химия,
автор: LEKAL0
Предмет: Обществознание,
автор: slavon150014