Предмет: Алгебра, автор: erikalin02

Помогите решить примеры:

Приложения:

Ответы

Автор ответа: artemevaan
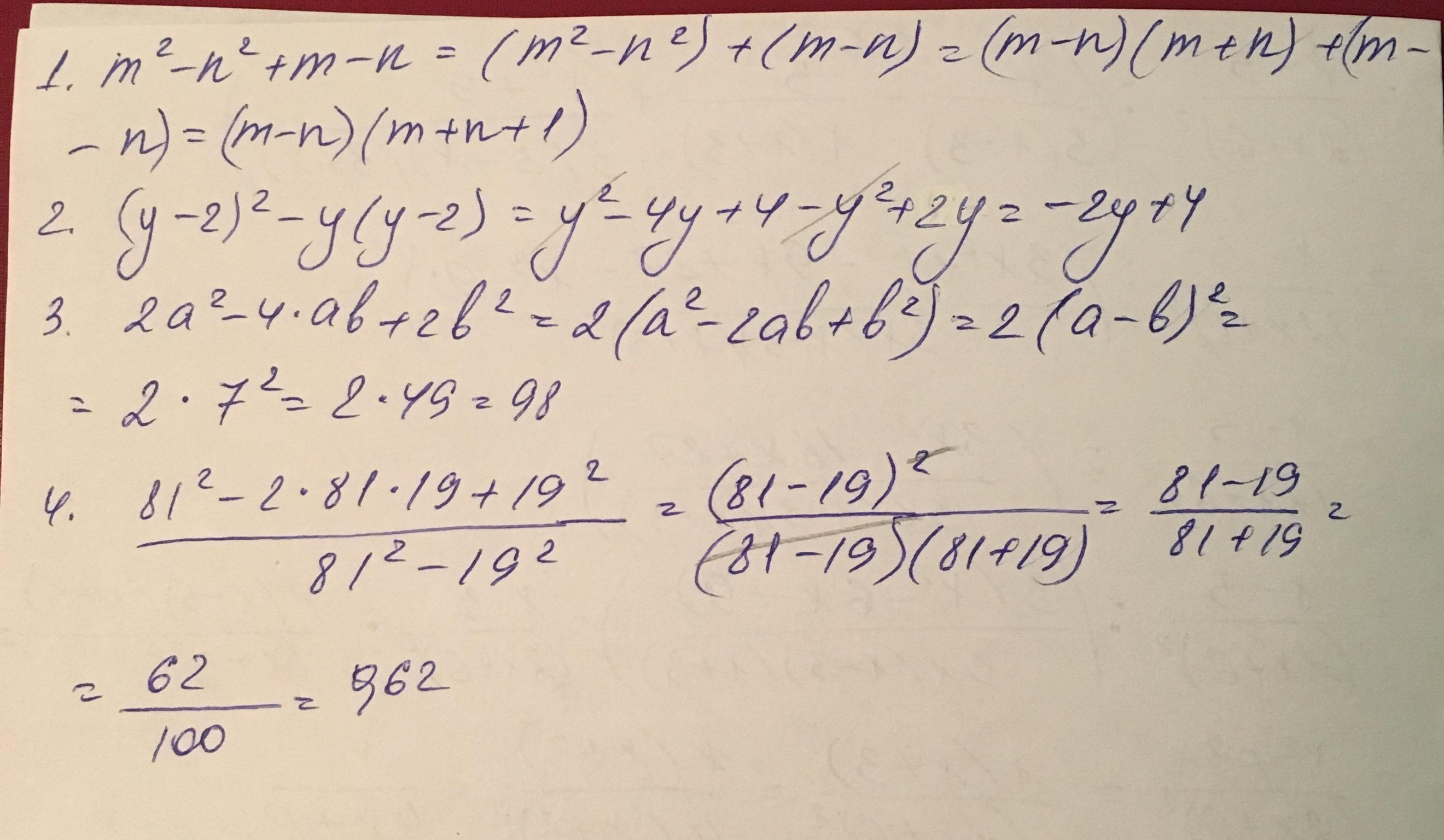
1

Решение во вложение. Удачи;)

Приложения:

erikalin02: спасибо большое
artemevaan: Не за что;)
Похожие вопросы
Предмет: Русский язык, автор: lilks661
найдите все наречия в этом тексте
Чем дальше Жаворонок уходит в небо,
тем милее ему земля и тем звонче о ней его песня.
Он кругами поднимается вверх, все выше и выше,
и уже видит землю лишь в контурах, в общих чертах.
И в этих чертах — все самое для него дорогое.
И Жаворонок поет, и песня его все звонче.
Потому что он удаляется от земли.
Поет Жаворонок.
И от этой песни, в которой земля так хороша,
его начинает тянуть обратно на землю. Чем больше поешь о земле,
тем сильнее тебя тянет на землю…
Пора возвращаться.
И Жаворонок возвращается.
Он все ближе и ближе к земле,
он уже видит ее не в общих чертах,
а в подробностях. В таких знакомых подробностях…
И песня его все тише.
Наконец она совсем обрывается, хотя он еще не долетел до земли.
Молча он садится на землю.
Молча смотрит по сторонам. Все те же травы,
все те же груды земли, все тот же его родной дом,
и все то же родное его семейство…
Все такое знакомое, такое привычное…
Жаворонка опять тянет в небо.
И он поднимается — все выше и выше.
И песня его все звонче, прекрасная песня,
в которой земля так хороша, что невозможно от нее улететь,
хочется вернуться на землю.
Предмет: Математика, автор: хулиганка26