Предмет: Математика,
автор: mumaHuk
помогите пожалуйста, срочно нужно решение!
Приложения:
Ответы
Автор ответа:
0
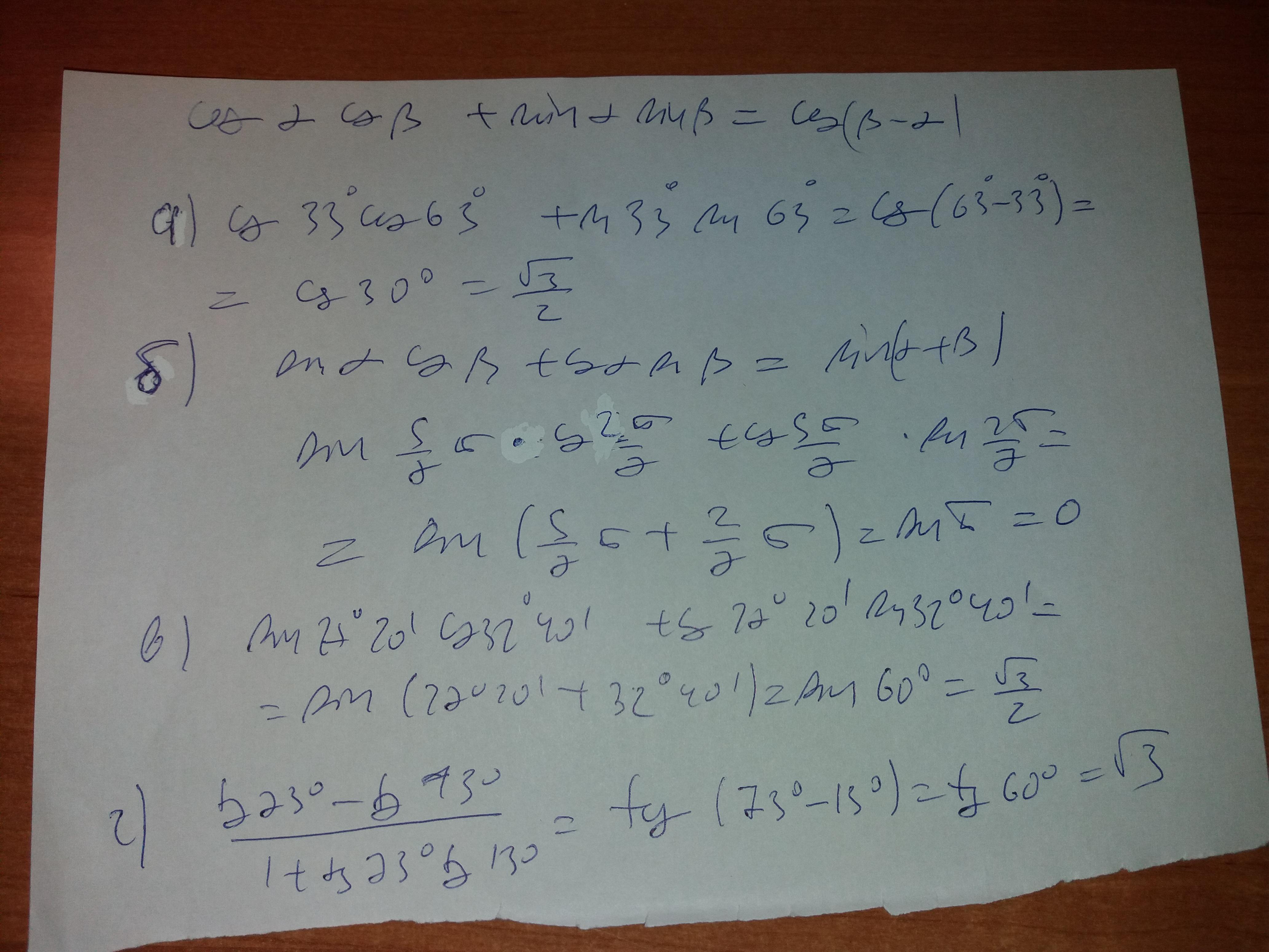
Ответ:
Пошаговое объяснение:
Приложения:
Похожие вопросы
Предмет: Физика,
автор: anyahokage422
Предмет: Алгебра,
автор: Аноним
Предмет: Алгебра,
автор: saahmetov72
Предмет: Математика,
автор: полина4142
Предмет: Информатика,
автор: Настенка13лет