Предмет: Математика,
автор: alinalupyrp6tvqi
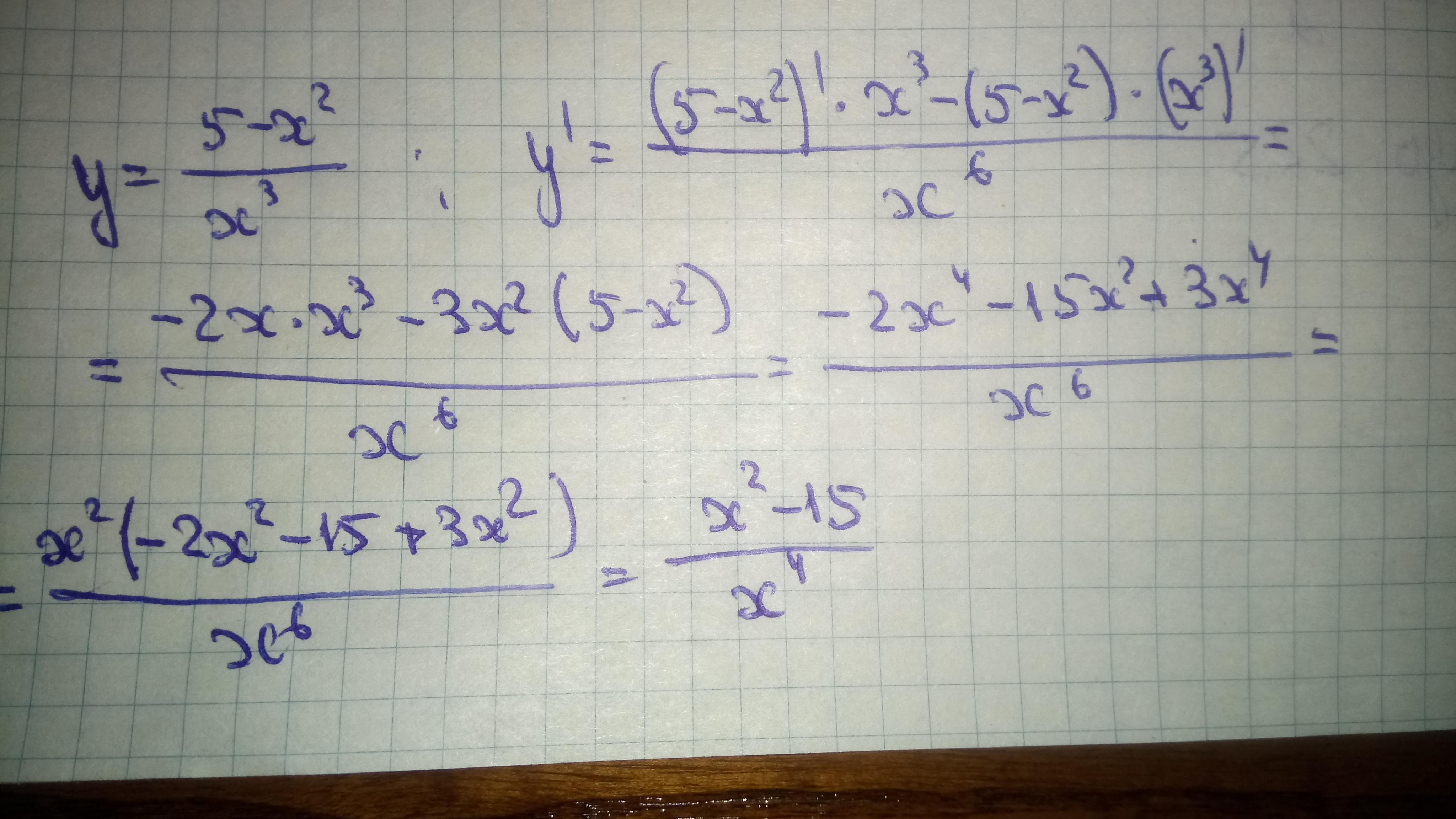
y=5-x^2/x^3 производная
Bena20191:
что в числителе -x^2 или 5-x^2?
Числитель : 5-x^2
Знаменатель : x^3
Знаменатель : x^3
Ответы
Автор ответа:
1
Решение задания приложено. 2 способа
Приложения:
Похожие вопросы
Предмет: Математика,
автор: goldilocks113
Предмет: Қазақ тiлi,
автор: Lola0743
Предмет: Геометрия,
автор: vaskomaksim397
Предмет: Математика,
автор: Мади041