Предмет: Алгебра,
автор: annikishina2011
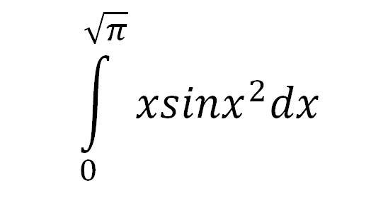
Вычислить определенный интеграл
Приложения:
Ответы
Автор ответа:
0
Вот решение;;
Ответ: 1.
Приложения:
Похожие вопросы
Предмет: Қазақ тiлi,
автор: prooo20009
Предмет: Русский язык,
автор: MayaBespalova
Предмет: Математика,
автор: ostrouhveronika
Предмет: География,
автор: катя69лол52
Предмет: Математика,
автор: мандаринка562