Предмет: Алгебра,
автор: ulana44467
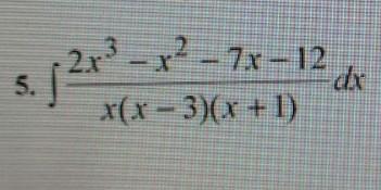
помогите пожалуйста дам 74 балла
Приложения:
Ответы
Автор ответа:
2
на фото................
Приложения:
Eugene812:
Вы здесь слишком замудрили...
Но а так все тоже самое
да,конечно.а откуда человек узнает,где взялись числители 4,-2,1? где Вы их взяли?
Разложить и все это же элементарно
Похожие вопросы
Предмет: Русский язык,
автор: aygunpulatova2008
Предмет: Математика,
автор: Hdjfutur
Предмет: Физика,
автор: chatskayan
Предмет: Литература,
автор: Рыбка2002
Предмет: Биология,
автор: новичок239