Предмет: Математика, автор: Lolikknopik

Помогите, пожалуйста! Срочно!
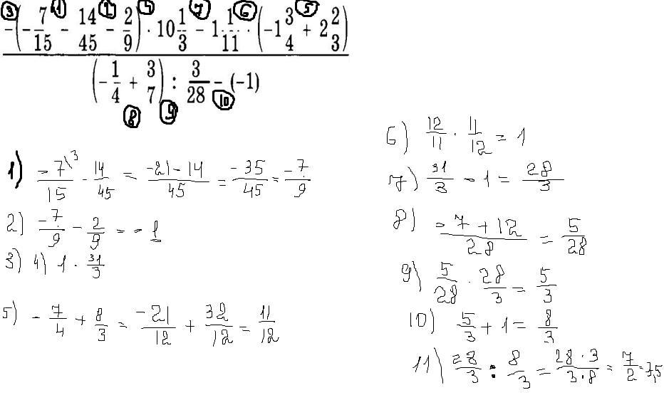
Дам 25 балов!

Приложения:

Ответы

Автор ответа: lakOR555
0

7. х-у-(-у+х-z)=x-y+y-x+z=z

8.

Приложения:
Похожие вопросы
Предмет: Математика, автор: formnite201
Предмет: Химия, автор: uliakomiak
1. Складіть рівняння реакцій взаємодії цинк гідроксиду з калій гідрокси-

дом у розчині та за сплавляння. Назвіть продукти реакції.

2. Складіть рівняння реакцій взаємодії алюміній гідроксиду:

а) з хлоридною кислотою;

б) барій гідроксидом за сплавляння;

в) барій оксидом.

3. Складіть рівняння реакцій утворення калій ортоалюмінату K3AlO3 вза-

ємодією:

а) амфотерного гідроксиду з лугом;

б) амфотерного оксиду з лугом;

в) амфотерного гідроксиду з оснóвним оксидом;

г) двох оксидів.

4. Кальцій оксид і алюміній оксид за зовнішнім виглядом майже одна-

кові. Як їх можна розрізнити, використовуючи хімічні реакції?

5. Які з наведених речовин  — KOH, FeCl3, H2SO4  — можуть взаємодіяти:

а)  з  натрій гідроксидом; б) купрум(II) гідроксидом; в) цинк гідрокси-

дом? Складіть відповідні рівняння реакцій.

6. З якими з наведених речовин взаємодіє натрій гідроксид: K2O, MgCO3,

H3PO4, H2S, FeCl3, Fe(OH)2, AlCl3, Zn(OH)2, KCl, SO3? Складіть рівняння ре-

акцій та назвіть продукти реакцій.

7. Складіть рівняння реакцій, що відповідають таким перетворенням:

а) Al → Al2O3 → AlCl3 → Al(OH)3 → Na3AlO3;

б) ZnSO4 → Zn(OH)2 → ZnO → K2ZnO2 → ZnCl2 → Zn(OH)2 → K2Zn(OH)4.

8. Обчисліть масу барій гідроксиду, що необхідний для добування барій

цинкату масою 11,7 г із цинк оксиду. Пж допоможіть​
Предмет: Литература, автор: вера3334