Предмет: Математика,
автор: ldika8
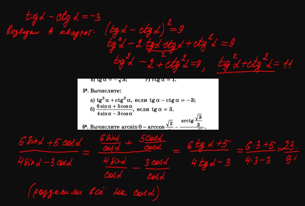
№5 срочно,пожалуйста!!!!!!
Приложения:
20069248:
ты в каком классе
Ответы
Автор ответа:
2
Ответ:
Пошаговое объяснение:
Приложения:
Похожие вопросы
Предмет: Алгебра,
автор: bulanyanpol
Предмет: Английский язык,
автор: aleksejantiuris
Предмет: Қазақ тiлi,
автор: sofiaakopan229
Предмет: Математика,
автор: средечёк