Предмет: Математика,
автор: Аноним
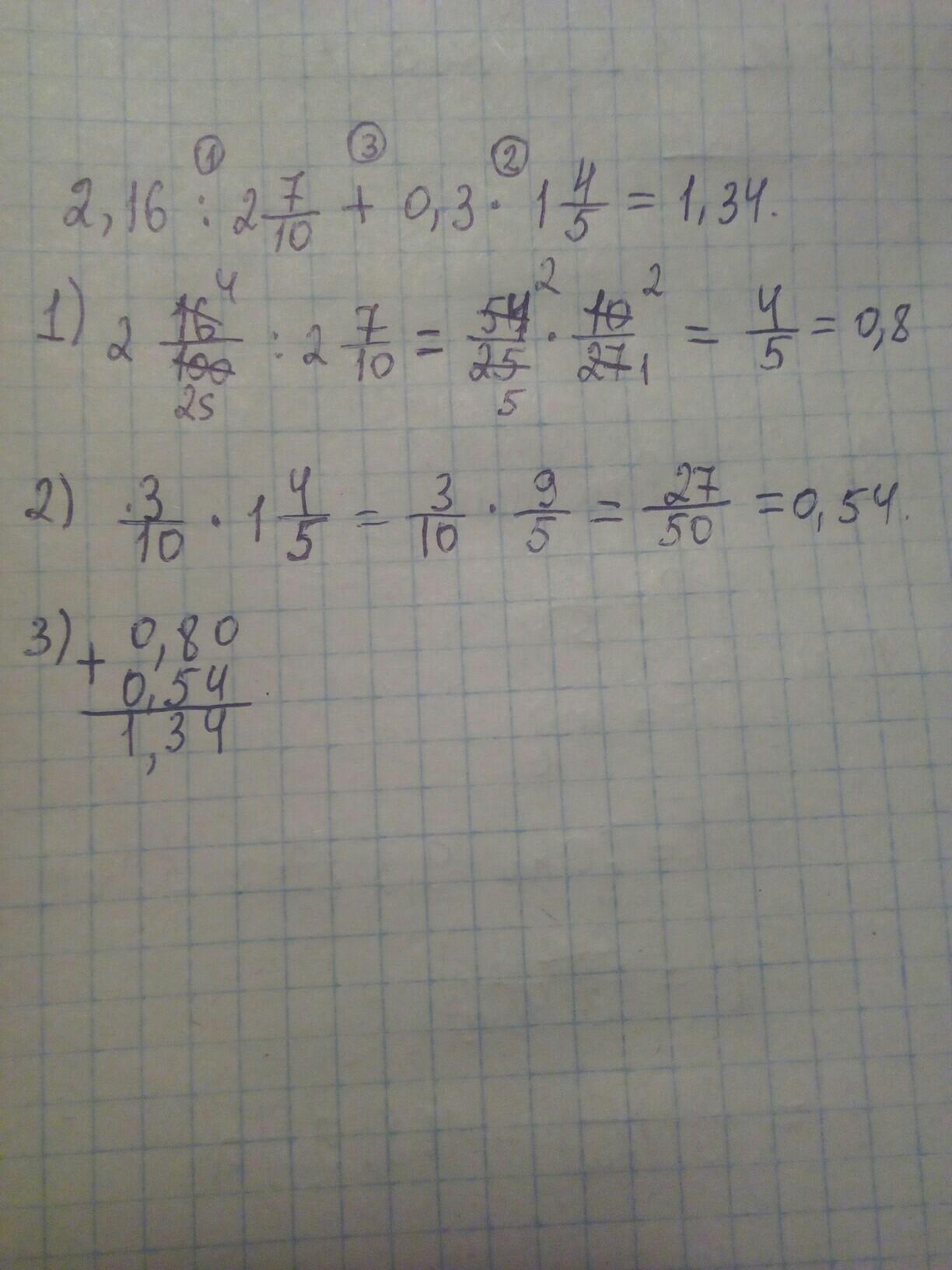
вычислите2,16:2 целых7/10+0,3*1 целых4/5
Ответы
Автор ответа:
0
Ответ:
1,34
Пошаговое объяснение:
2,16 / 2,7 + 0,3 *1 8/10 = 2,16 / 2,7 + 0,3 *1,8 = 0,8 + 0,54 = 1,34
Автор ответа:
0
ответ во вложении............
Приложения:
Похожие вопросы
Предмет: Геометрия,
автор: grisenkovalerij80
Предмет: История,
автор: rpolina131059
Предмет: Математика,
автор: lLlzlzlzlz
Предмет: История,
автор: vika7164