Предмет: Геометрия,
автор: raketos52
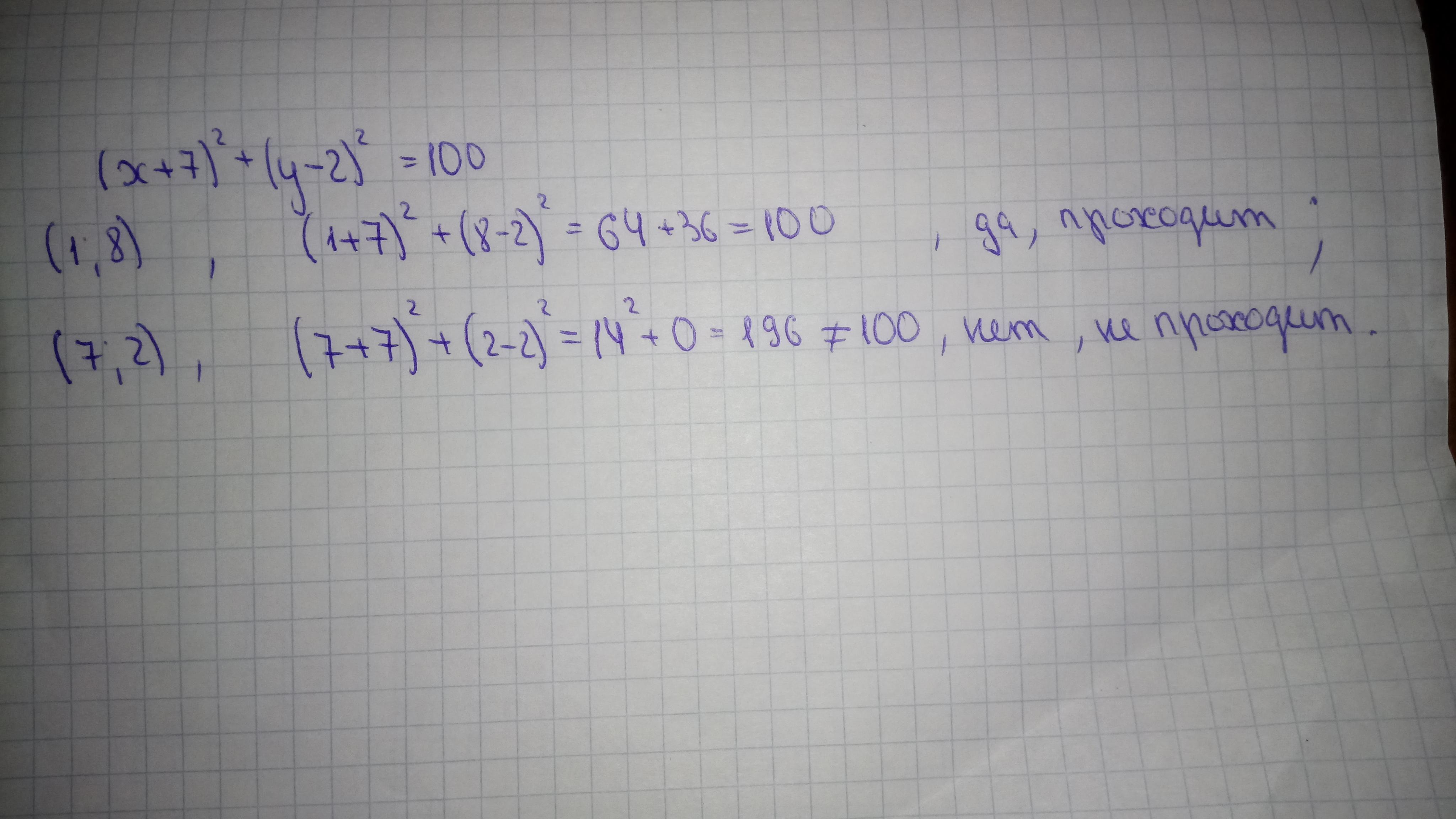
Проходит ли окружность заданная уравнением (x+7)^2+(y-2)^2=100 через точки (1;8) и (7;2) Пожалуйста напишите
Ответы
Автор ответа:
3
Решение задания приложено
Приложения:
Похожие вопросы
Предмет: Математика,
автор: DavidBelov
Предмет: Геометрия,
автор: sonamyschild
Предмет: Геометрия,
автор: KittyAlisa
Предмет: Математика,
автор: TheCoplerUs