Предмет: Алгебра, автор: Pessemist

Помогите решить, пожалуйста.​

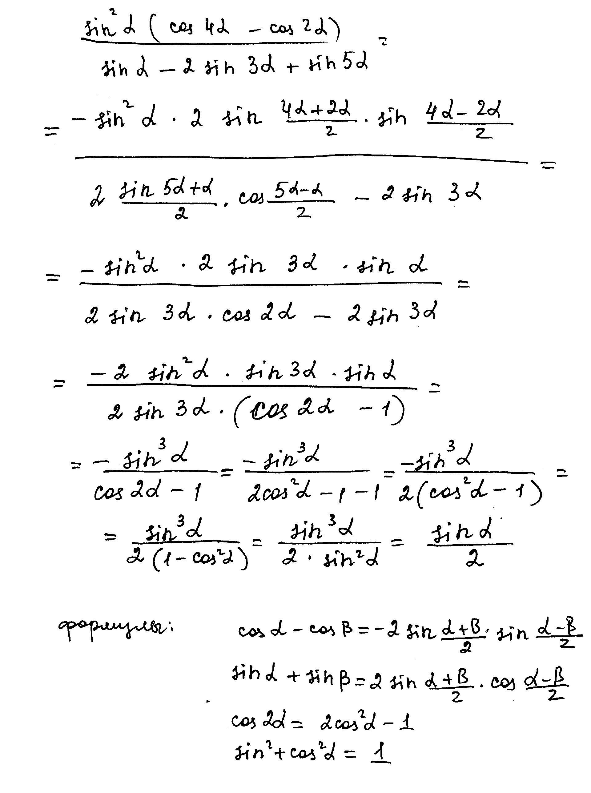
Приложения:

Ответы

Автор ответа: maksimcat
2

ответ на фото\\\\\\\\\\\\\\\\\\\\\\\\\\\\\\\\\\\\\\\\\\\\\\\

Приложения:
Похожие вопросы
Предмет: Экономика, автор: gamesszedlak3231
Определите верно, неверно данное выражение (да или нет).


1. Сетевые платежи – это платежи, проходящие только в глобальной сети.


2. Локальная сеть – это сеть, расположенная географически не в одном месте.


3. Торговый терминал – это несколько компьютеров, соединенных между собой для совместного использования ресурсов.


4. Все виртуальные платежи можно разделить на сетевые и внесетевые.


5. Существует две укрупненные группы пластиковых карт – это дебетовые и кредитные.


6. По техническим характеристикам пластиковые карты делятся на: обыкновенные; магнитные; микропроцессорные; кредитные; дебетовые.


7. Обыкновенная пластиковая карта – простая карта с фиксированной покупательной способностью.


8. К недостаткам магнитных карт относится следующее: невозможность оперативного обновления информации; процедура списания денег со счета клиента при расчете в магазине длительна и сложна; магнитная полоса часто выходит из строя.


9. Существуют два основных направления распространения банкоматов: создание раздельных «внутриплатежных» систем; создание корпоративных муниципальных сетей банкоматов.


10. Политика безопасности – совокупность норм и правил, методик, на основе которых в дальнейшем строится деятельность информационной системы в области обращения, хранения и распределения информации.


11. К классу технических средств защиты относятся сети электропитания и программы шифрования.


12. ФАПСИ – это федеральное агентство правительственной связи и информации при Президенте РФ.

13. Национальные платежные системы не могут эффективно использоваться на территории России совместно с международными системами.
Предмет: Биология, автор: Карина0666