Предмет: Геометрия,
автор: 8stabilnost8
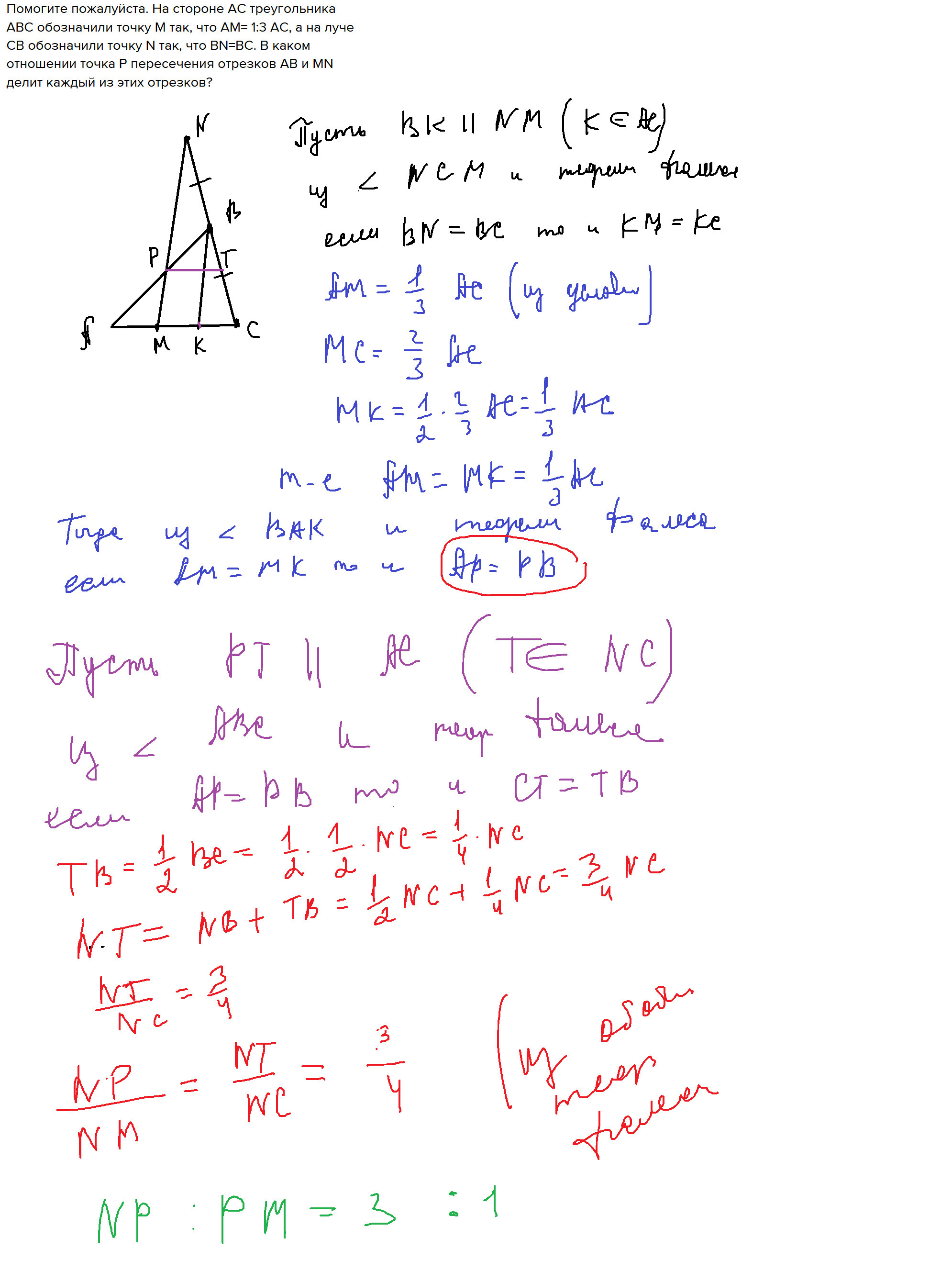
Помогите пожалуйста. На стороне AC треугольника ABC обозначили точку M так, что AM= 1:3 АС, а на луче СВ обозначили точку N так, что ВN=ВС. В каком отношении точка Р пересечения отрезков АВ и МN делит каждый из этих отрезков?
Ответы
Автор ответа:
7
Помогите пожалуйста. На стороне AC треугольника ABC обозначили точку M так, что AM= 1:3 АС, а на луче СВ
Приложения:
Похожие вопросы
Предмет: География,
автор: matana2849
Предмет: Українська мова,
автор: wwsux
Предмет: Математика,
автор: Аноним
Предмет: Музыка,
автор: ТвойДикаприо
Предмет: Биология,
автор: zhora5egor