Предмет: Алгебра,
автор: ardasha03
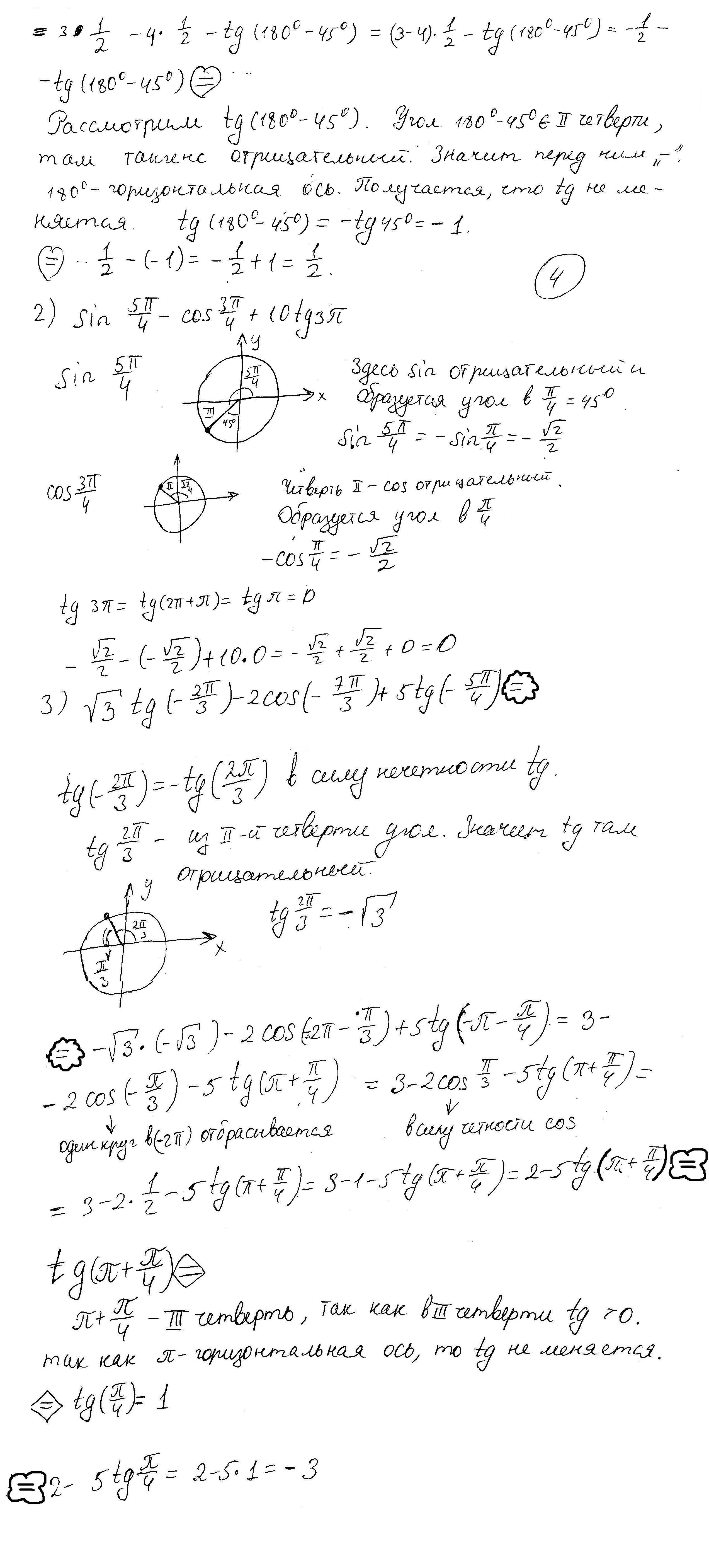
Помогите пожалуйста! Срочно! Задания на фото
Приложения:
Ответы
Автор ответа:
1
Решение в приложении. Вроде как верно))
Приложения:
Похожие вопросы
Предмет: Математика,
автор: djskakal
Предмет: Биология,
автор: vladuho2010
Предмет: Математика,
автор: dariyasadvakasova571
Предмет: Химия,
автор: 234569876543456