Предмет: Химия,
автор: Lloyd20
Помогите решить 2-ое задание-это задача .Даю 20 баллов (Желательно на личтоке )
Приложения:
Ответы
Автор ответа:
0
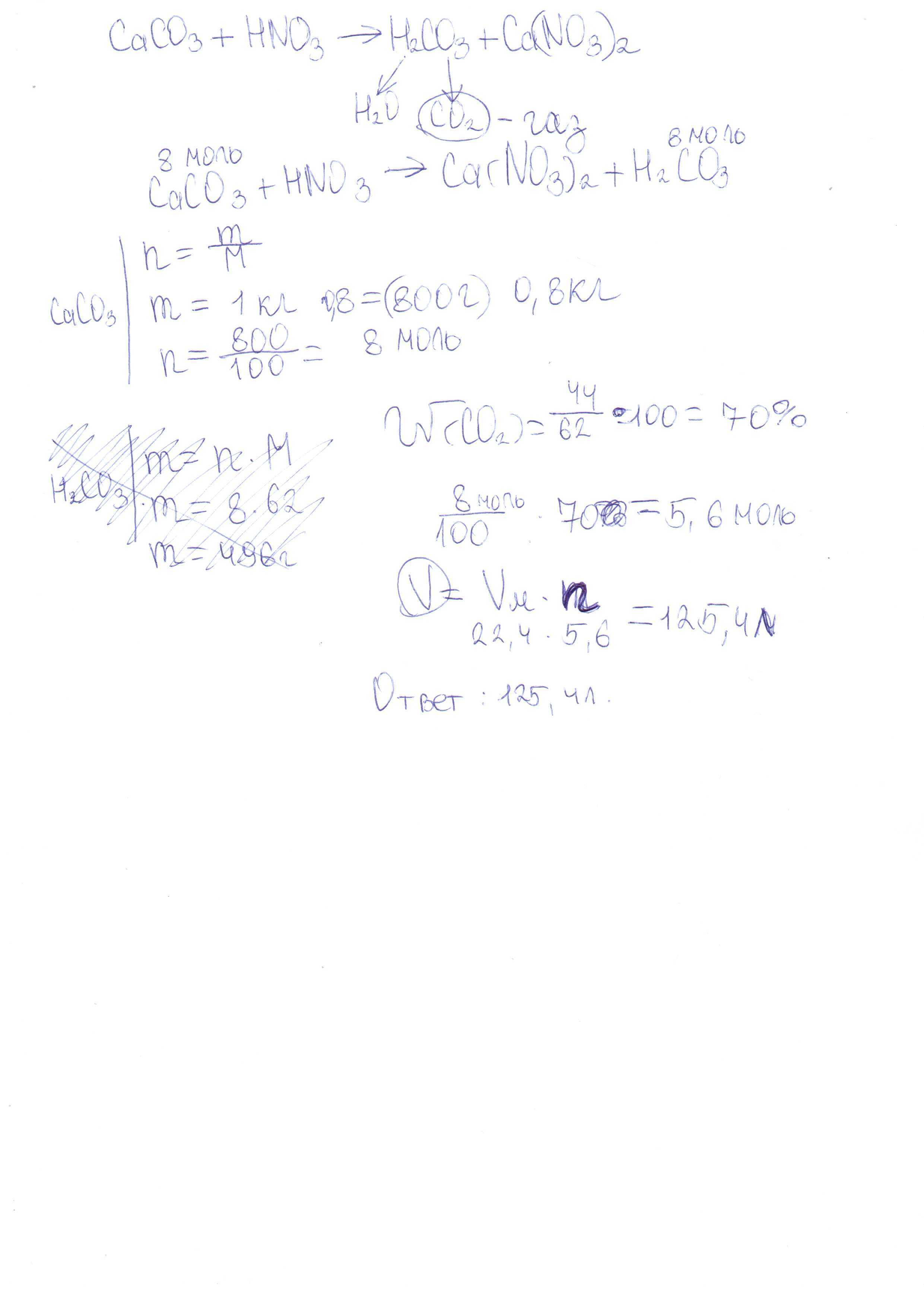
Газ который образуется: CO2
Найдем число молей, и через молярный объем посчитаем объем газа. Если будет верно - напиши мне) Лист с решением ниже:
Приложения:
denisgr98:
забыл двойку перед азотной, и зачем ты написал 70 ? Просто 8 умножь 22,4
*на
Похожие вопросы
Предмет: Алгебра,
автор: jessicalightman
Предмет: Физкультура и спорт,
автор: GMisha84
Предмет: Русский язык,
автор: Аноним
Предмет: Математика,
автор: кэт225
Предмет: Литература,
автор: desmon3