Предмет: Алгебра,
автор: lilireinhart89
помогите пожалуйста!номер 5
Приложения:
Ответы
Автор ответа:
1
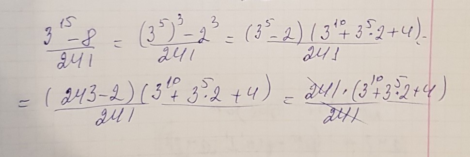
решение задания смотри на фотографии
Приложения:
lilireinhart89:
спасибо большое
пожалуйста
Спасибо за оценку
пожалуйста
помогитк пожалуйста,у меня есть вопрос(
я сделал.
Похожие вопросы
Предмет: Алгебра,
автор: yuliiamarko8b
Предмет: Физика,
автор: anastasiakostenko314
Предмет: Геометрия,
автор: IcEcReAm12345
Предмет: Литература,
автор: 5555191