Предмет: Геометрия, автор: IcEcReAm12345

ПОМОГИТЕ, ПОЖАЛУЙСТА!!!!!




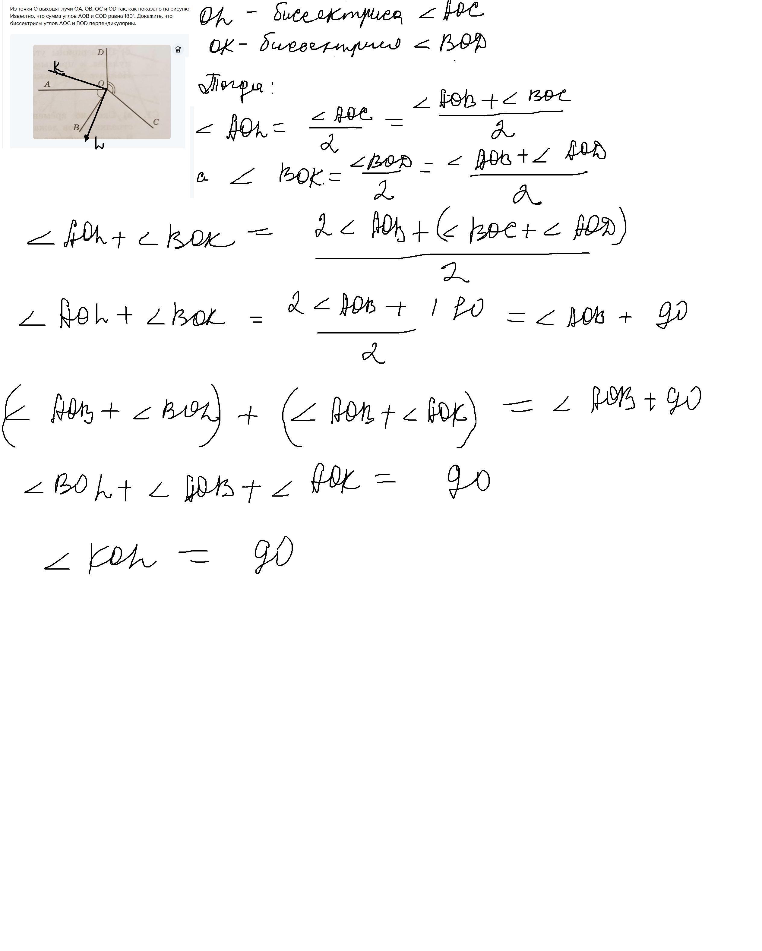
Из точки O выходят лучи OA, OB, OC и OD так, как показано на рисунке. Известно, что сумма углов AOB и COD равна 180°. Докажите, что биссектрисы углов AOC и BOD перпендикулярны.

Приложения:

Ответы

Автор ответа: radygagolovnogomozga
0

Ответ:

если сумма углов аов и сод равна 180

значит сумма доа и сов тоже равна 180

так же мы видим что угол доа 90°

вос соответственно тоже 90°

из этого мы можем заключить что углы аос и вод равны

они равны между собой и имеют общий угол

если провести биссектрисы на данном основании они будут перпендикулярны друг другу

я не уверена в ответе и заранее извиняюсь, но доказательство вроде верное

Автор ответа: vikll
1

Ответ:

Объяснение:Известно, что сумма углов AOB и COD равна 180. Значит  ВОС+АОD=180

Приложения:
Похожие вопросы
Предмет: Русский язык, автор: hisandel
Укажите номера простых предложений.

1) Лишь изредка олень пугливый через пустыню пробежит или коней табун пугливый молчанье дола возмутит.
2)Уже с полудня парило и в отдалении погрохатывало.
3) Он хотел было выехать со мною к теебе навстречу да почему-то раздумал.
4) Базаров ушёл и Аркадием овладело радостное чувство.
5) Исправьте общество и болезней не будет.
6) Аркадий ничего не отвечал Базарову каждый из них лёг спать с особенными мыслями в голове.
7) Легче птички она к нему подскочила наглянулась подняла стакан и подала ему с телодвижением исполненным невыразимой прелести.
8) Базаров долго сидел нагнувшись над своею чашкою да вдруг взглянул на неё.
9) Днём кпало с крыш устало и потно дымились сырые стены домов а к ночи везде смутно белели ледяные сосульки.
10) Месяц светил в окно и луч его играл на земляном полу хаты.
11) Под мышкой он нёс какой-то узелок и повернув к пристани стал спускаться по узкой и крутой тропинке.
12) Он рощи полюбил густые уединенье тишину и ночь и звёзды и луну.
Предмет: Русский язык, автор: классБ
Предмет: Русский язык, автор: korobkova83
Предмет: Обществознание, автор: didi9405