Предмет: Математика, автор: lanamalinovskaya

решите пожалуйста 16 номер!!!

Приложения:

Ответы

Автор ответа: blackmday12
2

По формуле, площадь равна основание умножить на высоту и делить на 2

Приложения:
Автор ответа: svetazuna
2

Пошаговое объяснение:

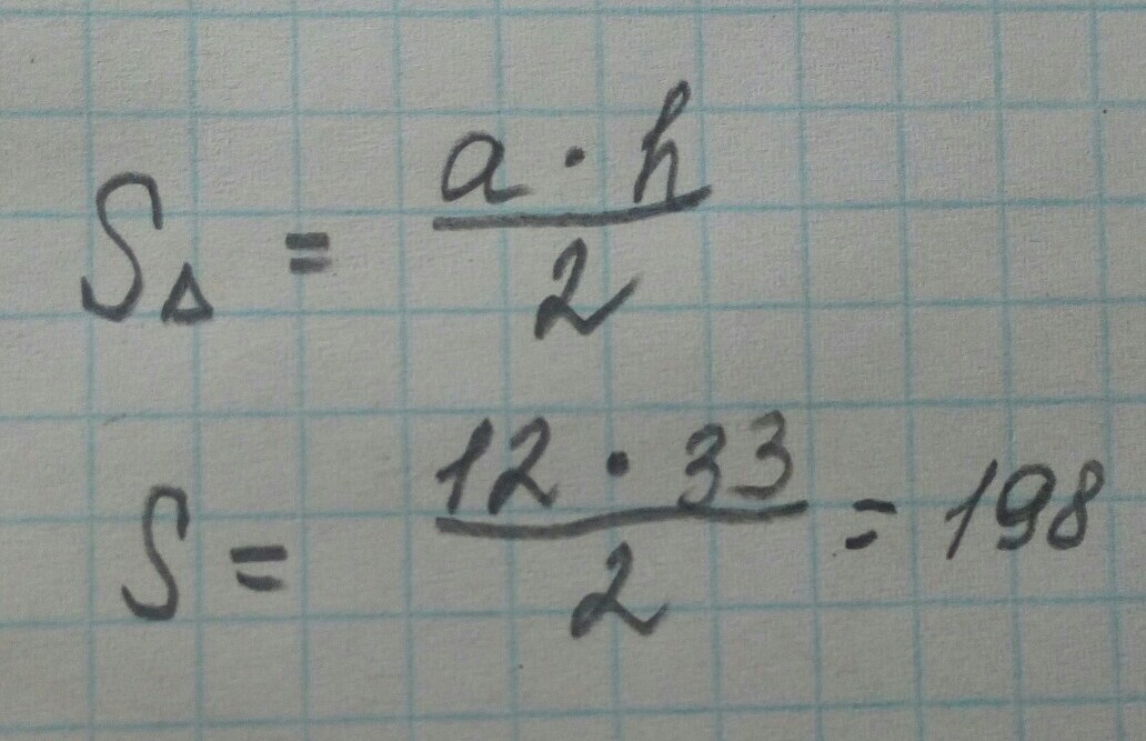
16.

Площадь треугольника равна произведению половины основания треугольника (a) на его высоту (h):

S = 1/2 * а * h,

S = 1/2 * 12 * 33 = 198 см²

Похожие вопросы
Предмет: Алгебра, автор: oleksandrmaksimenko8
Предмет: Кыргыз тили, автор: salejkobogdan51
Предмет: Математика, автор: sansan223375
Предмет: Математика, автор: liza7172
Предмет: Литература, автор: krukova1202