Предмет: Математика,
автор: sonya06044
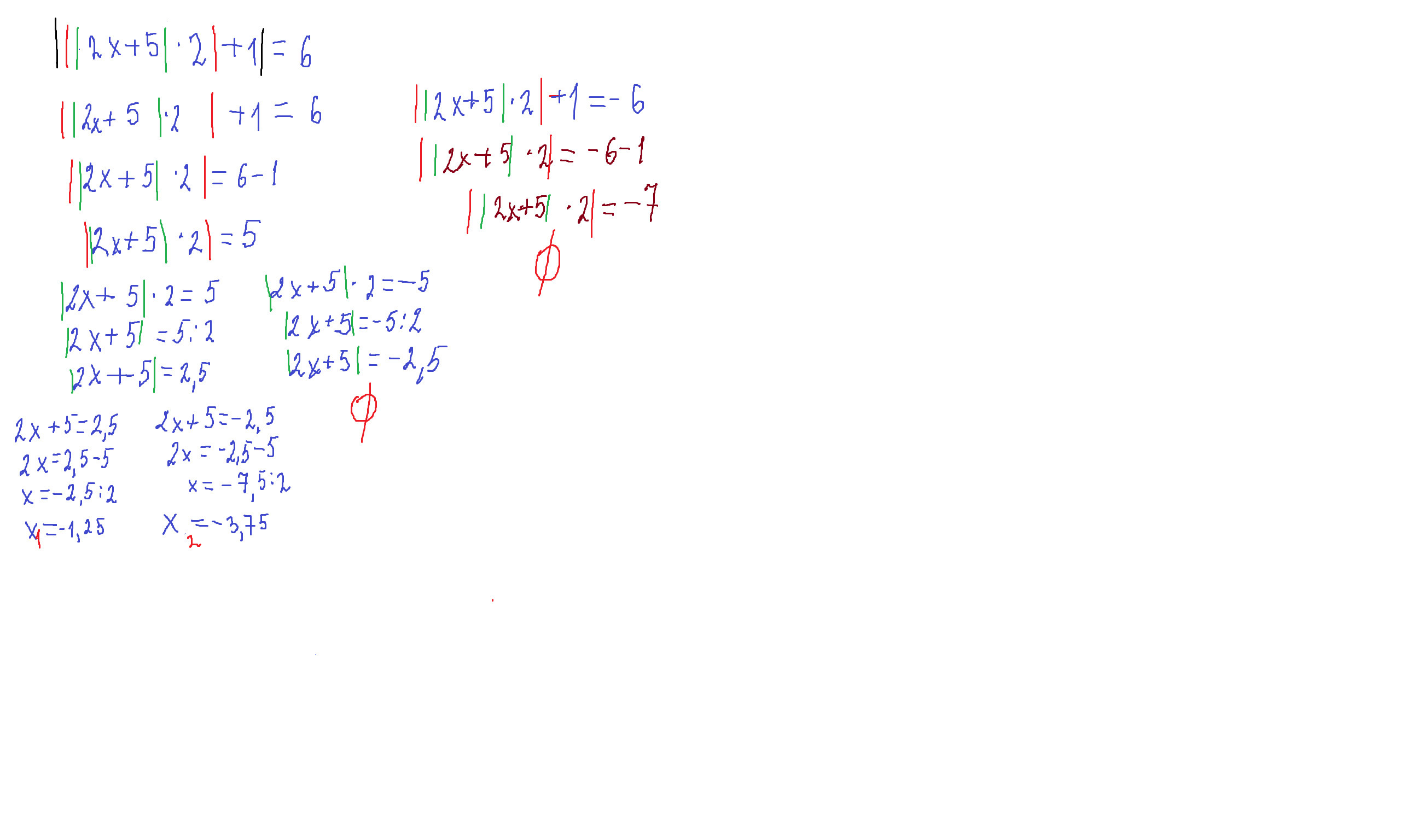
|||2х+5|•2|+1|=6
Х=?
Ответы
Автор ответа:
1
Ответ:
Пошаговое объяснение:
решение смотри внизу.модули сделала разноцветными,чтобы было понятно,как мы их раскрываем.
Приложения:
Похожие вопросы
Предмет: Українська мова,
автор: paslavskamarianna22
Предмет: Математика,
автор: denusp385
Предмет: Алгебра,
автор: toffulebed
Предмет: Музыка,
автор: dashakovshova
Предмет: Математика,
автор: натали417