Предмет: Геометрия,
автор: cookiesasha8989
Можете пожалуйста помочь решить задачу 8 и 9
Приложения:
Ответы
Автор ответа:
0
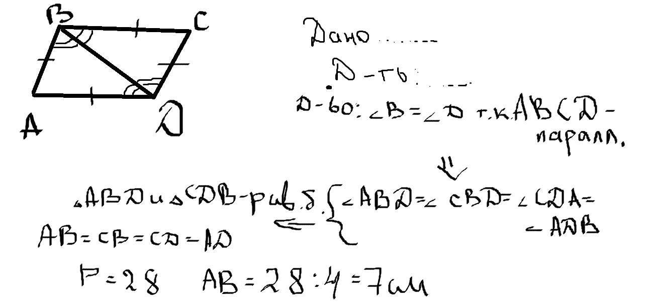
Сейчас 9 решу ,а потом допишешь
Приложения:
Автор ответа:
0
Возьми за Х сторону ВА,тогда 4Х будет сторона ВС= 4х+4х+х+х=80 см
Автор ответа:
0
ок спс
Автор ответа:
0
ВА=8см Вс=32см-самая большая сторона
Автор ответа:
0
пожл
Автор ответа:
0
а мне же не надо доказывать в 8 задаче
Похожие вопросы
Предмет: Литература,
автор: Gurov5
Предмет: Геометрия,
автор: radmiroldikovich
Предмет: Химия,
автор: samy68486
Предмет: Математика,
автор: Артём228