Предмет: Математика,
автор: dskravtsov
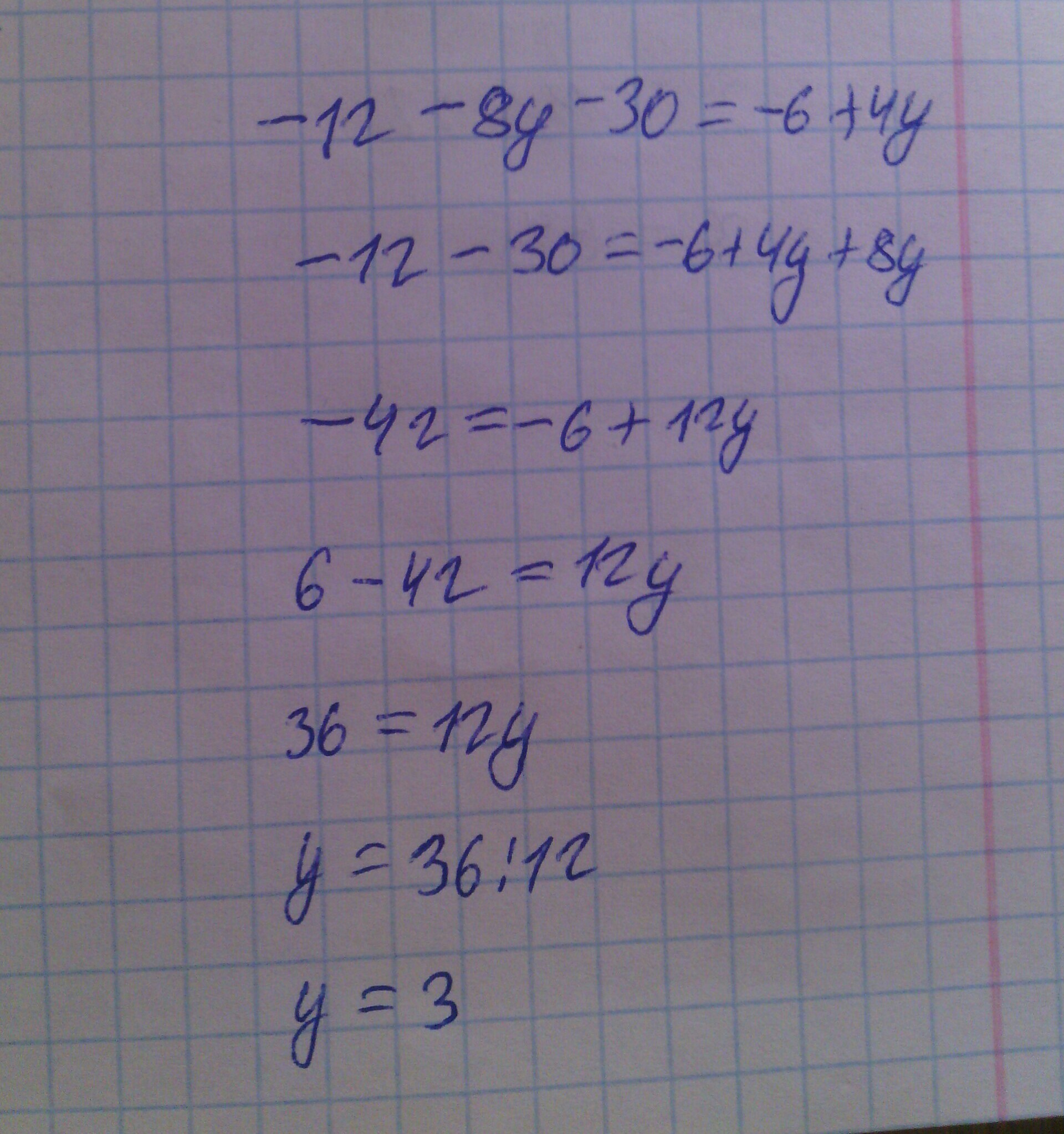
Решение пожалуйста 4(-3–2y)-30=2(-3+2y)
Ответы
Автор ответа:
0
Думаю, что всё правильно, смотри на фото
Приложения:
Автор ответа:
0
Ответ:
у = -3
Пошаговое объяснение:
4(-3-2y)-30=2(-3+2y)
-12 - 8у - 30 = -6 + 4у
-8у - 4у = -6 + 12 + 30
-12у = 36
у = 36 / (-12)
у = -3
Похожие вопросы
Предмет: Математика,
автор: vika200923
Предмет: Математика,
автор: sizel23
Предмет: Биология,
автор: medeaerlanova78
Предмет: Математика,
автор: RusuAlina