Предмет: Алгебра,
автор: BeJIuKoJIenHbIu
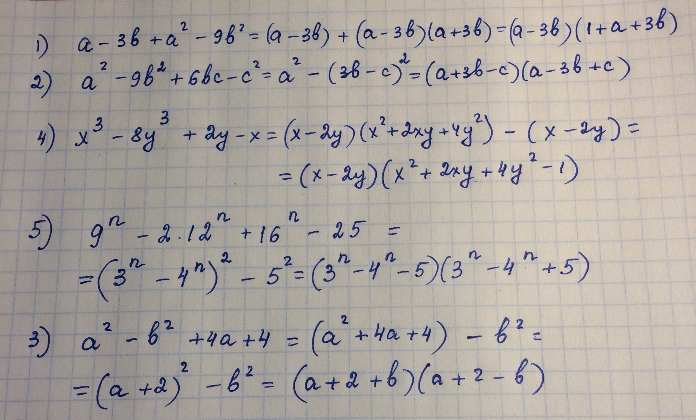
Представьте в виде произведения выражение:
1) a-3b+a^2-9b^2
2) a^2-9b^2+6bc-c^2
3)a^2-b^2+4a+4
4) x^3-8y^3+2y-x
5) 9^n -2*12^n+16^n-25, где n-натуральное число.
Ответы
Автор ответа:
25
Ответ на фото ////////////////
Приложения:
Похожие вопросы
Предмет: Информатика,
автор: NightTheme
Предмет: Английский язык,
автор: vn7915029
Предмет: Алгебра,
автор: fhsjszkk
Предмет: Математика,
автор: Аноним
Предмет: Литература,
автор: диана1377