Предмет: Математика,
автор: kgfk46
Помогите с уравнениями
Приложения:
Ответы
Автор ответа:
0
Ответ:это буква а и б
Пошаговое объяснение:
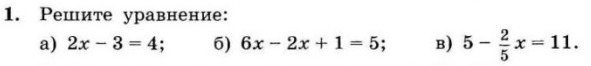
2х=4+3
2х=7
Х=7:2
Х=3.5
Б) 6х-2х=1-5
4х=-4
Х=4:4
Х=1 вроде так
Автор ответа:
1
Ответ:
1)
2х-3=4
2х=4+3
2х=7
х=7:2
х=3,5
б) 6х-2х+1=5
4х=5-1
4х=4
х=4:4
х=1
в) 5-2\5 х=11
2\5 х=5-11
2\5х=-6
х=-6 : 2\5 -6: 2\5=-6*5\2=-30\2= - 15
х= -15
Похожие вопросы
Предмет: Математика,
автор: blagomenison1974
Предмет: Литература,
автор: megabro68
Предмет: Химия,
автор: alenalomakina2011
Предмет: Математика,
автор: Аноним