Предмет: Алгебра,
автор: RAMINL1984
16-х^2<0 помогите с ней
Ответы
Автор ответа:
0
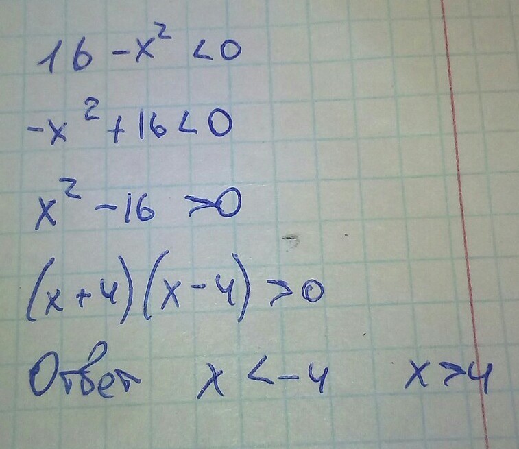
16-x^2 <0
-x^2+16 <0
x^2-16>0
(x+4)(x-4)>0
otvet x <-4 x>4
-x^2+16 <0
x^2-16>0
(x+4)(x-4)>0
otvet x <-4 x>4
Автор ответа:
0
........................
Приложения:
Похожие вопросы
Предмет: Геометрия,
автор: redblt239
Предмет: Литература,
автор: galag6220
Предмет: История,
автор: bogdankuceruk68
Предмет: Математика,
автор: 123451117
Предмет: Литература,
автор: Зульфия1980