Предмет: Химия,
автор: pisarevamargarita263
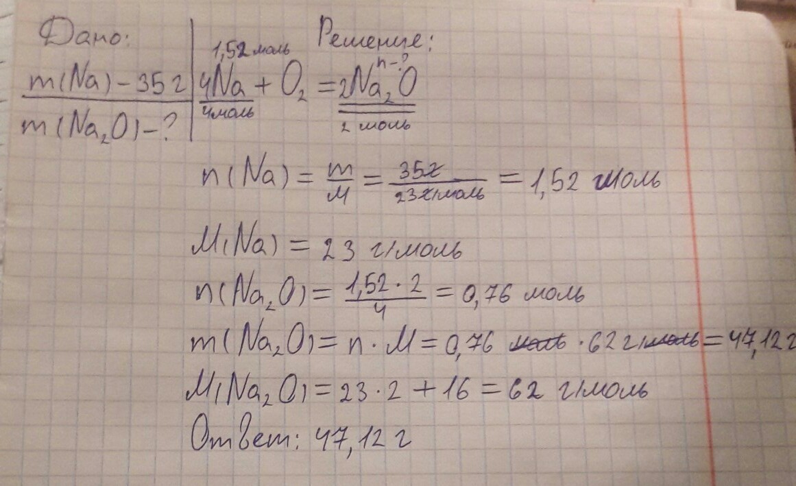
Найдите массу оксида натрия образованного при взаимодействии 35 г натрия с кислородом. С объяснением
Ответы
Автор ответа:
1
там где находим n оксида натрия составляем пропорцию из молей которые подписаны над и под веществами,т.е. перемножаем крест на крест.Надеюсь это понятно объяснила,думаю остальное должно быть понятно)
Приложения:
pisarevamargarita263:
Спасибо большое! Ты мне очень помог. Правда мы немного полегче решаем. Но ответ теперь сошелся! Я поняла теперь,что к чему. Спасибо огромное))))
Похожие вопросы
Предмет: Алгебра,
автор: aemironova2007
Предмет: Обществознание,
автор: maryuans
Предмет: Математика,
автор: hanadobao06
Предмет: Биология,
автор: MRV1
Предмет: Литература,
автор: Vanya9560