Предмет: Алгебра, автор: garlaus5555

Розв'язок даю 25 баллов

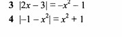
Приложения:

Ответы

Автор ответа: katushkash
1
Как-то так. Пожалуйста
Приложения:
Похожие вопросы
Предмет: Психология, автор: viktorit310506
Билет 1
Ситуация 1. Фельдшер объясняет пациенту о назначенной ему лекарстве. Уточняет всё ли ему понятно, отвечает на вопросы пациента.
Ситуация 2. Пациент спрашивает фельдшера о назначенных ему препаратах. фельдшер в ответах использует только названия действующего вещества, без объяснения свойств этих препаратов. На вопросы пациента не отвечает. Сравните эти две ситуации, определите в какой из них была коммуникация, коммуникативная компетенция.
ОТВЕТ:

Билет 9
В приёмное отделение с забинтованной головой попала женщина, плохо говорящая на русском языке. Определите с каким коммуникативным барьером столкнулись медицинские работники.
ОТВЕТ:

Билет 18
Девочка по настоянию родителей поступила учиться в медколледж, сама же девочка хотела быть дизайнером. Опишите различные варианты разрешения конфликтной ситуации.
ОТВЕТ:

Билет 19
Студент получил более низкую оценку за экзамен, начал спорить с преподавателем, после чего вышел из кабинета и хлопнул дверью. Определите вид агрессивного поведения студента.
ОТВЕТ:

Билет 21
Руководитель одного из отделов медицинского учреждения выступая на собрании с докладом о принятии изменений в работе учреждения, неясно выражал свои мысли и постоянно говорил о необходимости безоговорочного выполнения новых правил. В результате чего по окончанию доклада многие из присутствующих приняли информацию агрессивно. Определите какие правила ведения деловой беседы не учел руководитель?
ОТВЕТ:

Билет 22
Ваш работодатель поручает вам ответственное поручение. Говорит вам при этом, что вы единственный кто может выполнить его, потому что вы опытный, незаменимый сотрудник. Объясните какие формы убеждения были использованы.
ОТВЕТ:

Билет 23
Вы пришли на лекцию где преподаватель озвучил тему, план, актуальность данной темы. Определите жанр риторики.
ОТВЕТ:

Билет 24
Во время выступления докладчик старался постоянно находить визуальный контакт со слушателями. Говоря речь, находил одного или нескольких зрителей, на которых удерживал взгляд несколько секунд. Объясните цель поведения докладчика во время выступления.
ОТВЕТ:

Билет 25
Вам поручено выступить с докладом о новых методах профилактики инфекционных заболеваний. Объясните какие основные принципы подготовки к публичному выступлению будут вами применены?
ОТВЕТ:

Билет 26
Студент медицинского колледжа долго и тщательно готовился к выступлению на защите дипломной работы, проверяя и анализируя каждый этап своего выступления. Во время выступления на защите он, озвучив тему и цели, чтобы не забыть основную мысль, не отрывая взгляд от информационного листка, быстро прочёл выступление. Какой прием установления контакта с аудиторией не учел студен?
ОТВЕТ:

Билет 27
В процессе публичного выступления докладчик старался удерживать внимание аудитории на проблеме, аргументированно доказывал точку зрения, в конце выступления подвел итоги. Определите, какой принцип выступления не учел оратор?
ОТВЕТ:

Билет 28
По представленной ситуации определите какой этико-деонтологический принцип был нарушен. Ситуация: вы пришли на приём в назначенное время. Заглянув в кабинет врача, там не было, а медсестра возмущённо ответила, что приёма сегодня не будет.
ОТВЕТ: