Предмет: Математика, автор: zhanel2018


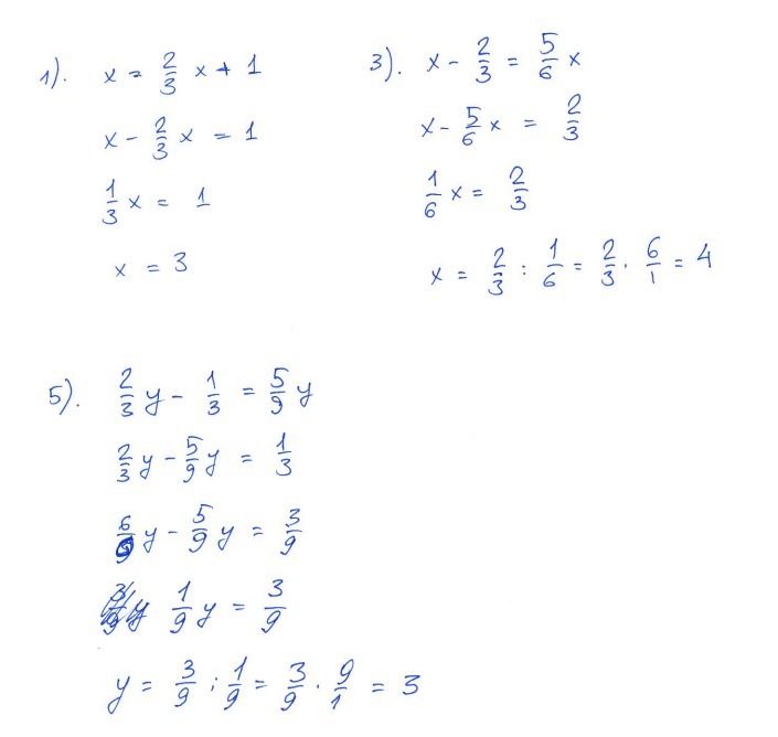
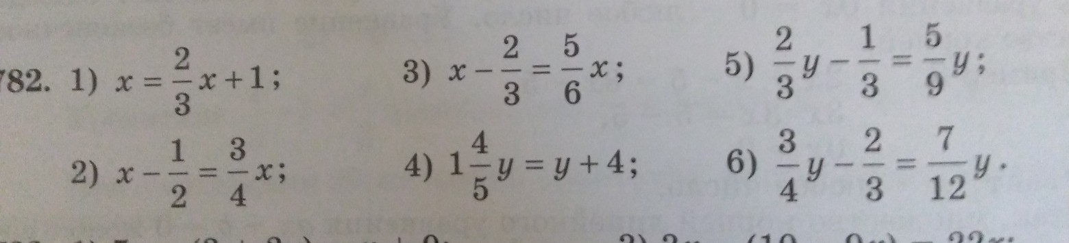
СРОЧНО!!!!Плиззз :( Решите уравнения.Решить только под пунктом 1,3,5. 1)x=2/3x+1
3)x-2/3=5/6x
5)3/4y-2/3=7/12y
Буду благодарна тем кто решит эти примеры.Обязательно подпишусь и отмечу как лучший ответ!!!

Приложения:

Ответы

Автор ответа: Lod2000
1

Ответ:


Пошаговое объяснение:

см. вложение..............................

Приложения:

zhanel2018: Спасибо вам большое!
Похожие вопросы
Предмет: Биология, автор: naykorotihina
Водоросли преимущественно ________ растения, имеющие относительно ________ строение. Их тело представлено ________ клеткой или ________ , неразделенным на ________ и ________ . Среди водорослей есть ________ , ________ и ________ организмы. Клетка водорослей состоит из ________ , цитоплазмы и одного или нескольких ________ . Размножение водорослей происходит в ________ среде, где ________ и гаметы свободно передвигаются, что способствует успешному расселению водорослей. В процессе эволюции некоторые представители освоили разные среды жизни. Одни из них обитают на влажных стволах ________ , скалах и каменистых стенках. Известны виды ________ , которые способны жить и размножаться на поверхности снега, на шкуре белых медведей, в горячих источниках Камчатки. Кроме зеленого пигмента - ________ , в клетках водорослей могут присутствовать и другие пигменты - ________ , ________ , красные, а также запасающие вещества. По особенностям строения, составу красящих и запасающих веществ выделяют ________ отделов водорослей. Наибольшего разнообразия достигли ________ и бурые настоящие водоросли.