Предмет: Алгебра, автор: jkpl

Помогите пожалуйста с интегралом

Приложения:

Ответы

Автор ответа: NNNLLL54
0

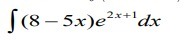
\int (8-5x)\, e^{2x+1}\, dx=[\, u=8-5x,\; du=-5\, dx\; ;\; dv=e^{2x+1}\; ,\; v=\frac{1}{2}e^{2x+1}\; ]=\\\\=uv-\int v\, du=\frac{1}{2}(8-5x)e^{2x+1}-\frac{-5}{2}\int e^{2x+1}\, dx=\\\\=\frac{8-5x}{2}\, e^{2x+1}+\frac{5}{4}\, e^{2x+1}+C=\frac{1}{2}\, e^{2x+1}\cdot \Big (8-5x+2,5\Big )+C=\\\\=\frac{1}{2}\, e^{2x+1}\cdot (10,5-5x)+C

Похожие вопросы
Предмет: Алгебра, автор: evcenf
Предмет: Математика, автор: имрае