Предмет: Алгебра, автор: dimonast2010

Вычислить пределы числовых последовательностей

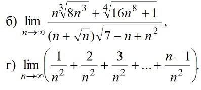
Б Г Нужно решить

Приложения:

Ответы

Автор ответа: Indentuum
1

\lim\limits_{n \to \infty} \frac{n\sqrt[3]{8n^3} + \sqrt[4]{16n^8 + 1}}{(n + \sqrt{n})(\sqrt{7 - n + n^2})} = \lim\limits_{n \to \infty} \frac{n^2(\sqrt[3]{8} + \sqrt[4]{16 + 0})}{n^2(1 + 0)\sqrt{0 - 0 + 1}} = 4


\lim\limits_{n \to \infty} (\frac{1}{n^2} + \frac{2}{n^2} + \ldots + \frac{n - 1}{n^2}) = \lim\limits_{n \to \infty} \frac{1}{n^2}(1 + 2 + \ldots + n - 1) = \lim\limits_{n \to \infty} \frac{n(n - 1)}{2n^2} = \frac{1}{2}

Похожие вопросы
Предмет: Математика, автор: Аноним