Предмет: Алгебра, автор: настя20002013

Помогите решить пожалуйста
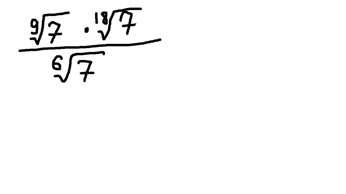
корень 9 степени из 7 умножить на корень 18степени из 7
делить на
на корень 6 степени из 7

Приложения:

Ответы

Автор ответа: Luluput
0
 frac{ sqrt[9]{7}* sqrt[18]{7}  }{ sqrt[6]{7} } = frac{ 7^{ frac{1}{9} } * 7^{ frac{1}{18} } }{ 7^{ frac{1}{6} } }= 7^{( frac{1}{9}+ frac{1}{18}- frac{1}{6}  ) }  = 7^{( frac{2}{18}+ frac{1}{18}- frac{3}{18})   } = 7^{0} =1
Похожие вопросы