Предмет: Алгебра,
автор: Аноним
Упроститите выражение
а)7√3+19√48-√75
б)(3√3+√12)√3
в)2√5(3-4√80)- 3√5
Освободите от иррациональности в знаменателе
а)7
____
2√98
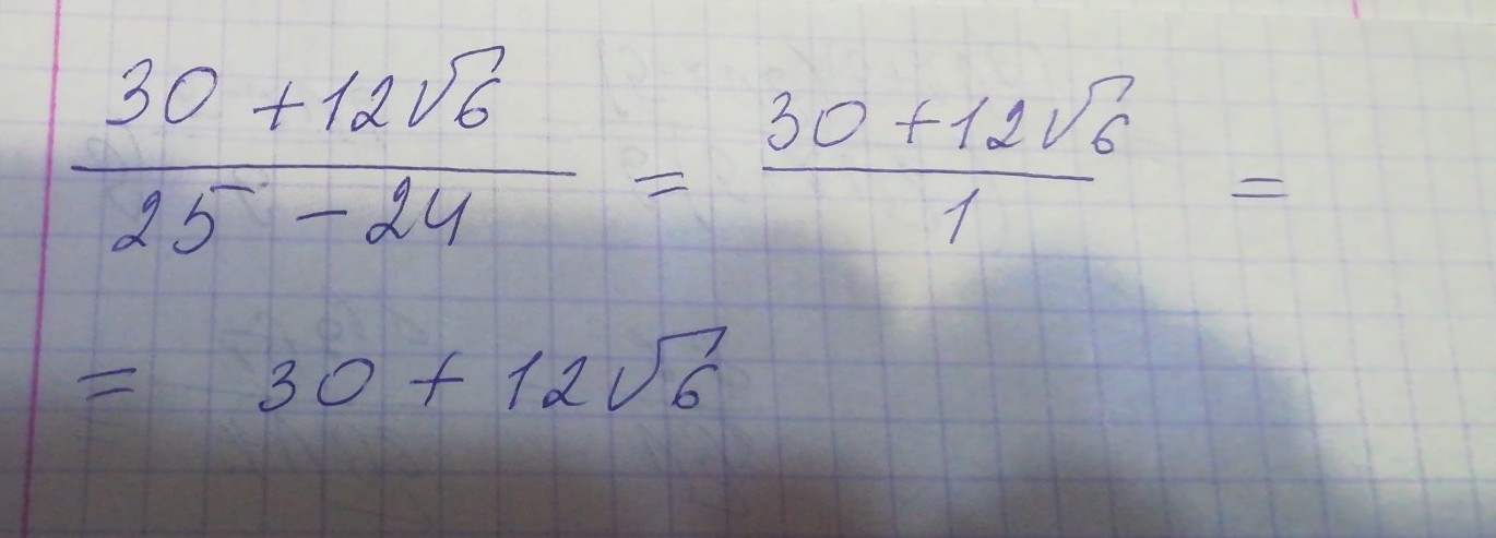
б) 6
____
5-2√6
Заранее спасибо)
Ответы
Автор ответа:
1
Вот решение..........
Приложения:
Аноним:
Йоу, благодарю)
Похожие вопросы
Предмет: Русский язык,
автор: aidaraibol
Предмет: Математика,
автор: kochka102
Предмет: Математика,
автор: domashka35
Предмет: Физика,
автор: Олеся9855468
Предмет: Математика,
автор: alikhantokayev