Предмет: Алгебра,
автор: cocosi
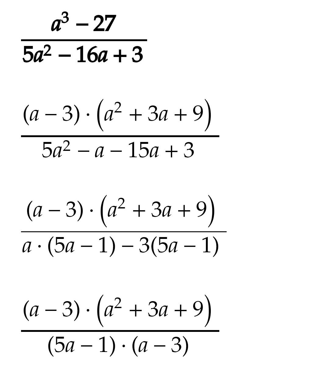
скоротіть дріб a^3-27/5a^2-16a+3
Ответы
Автор ответа:
0
ответ после сокращения

Приложения:
Похожие вопросы
Предмет: Биология,
автор: MyaGi855
Предмет: Английский язык,
автор: redyiliams5275
Предмет: История,
автор: Zavgar3679
Предмет: Математика,
автор: Alan4ik12345
Предмет: Математика,
автор: ponomarevserge1