Предмет: Алгебра,
автор: Arinat1605
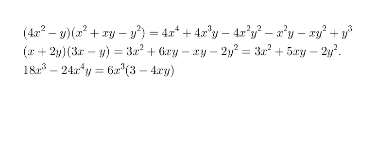
Преобразовать в многочлен стандартного вида
a) (4x^2-y)(x^2+xy-y^2)
b) (x+2y)(3x-y)
Разложить на множители
18x^3-24x^4 y
Ответы
Автор ответа:
0
...........................
Приложения:
Похожие вопросы
Предмет: Другие предметы,
автор: katyanovikova65
Предмет: Литература,
автор: pap30
Предмет: Математика,
автор: kuhalova
Предмет: Математика,
автор: Аноним
Предмет: Математика,
автор: Didiboll