Предмет: Алгебра,
автор: Аноним
найдите значение выражения:
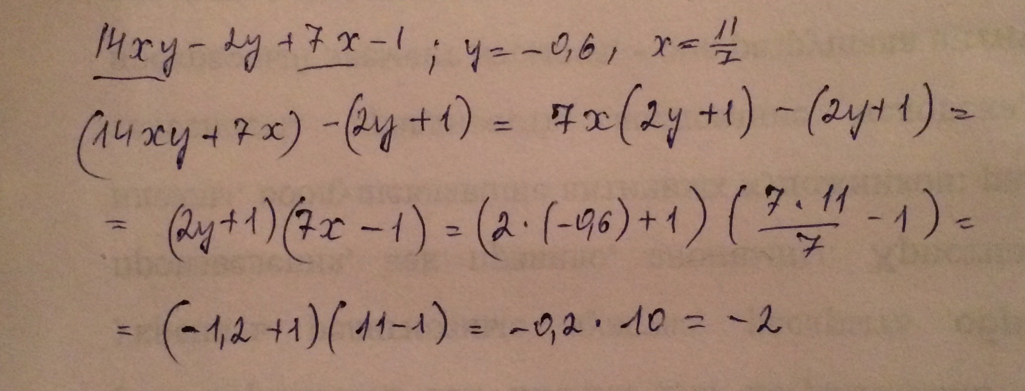
14xy-2y+7x-1, если x=1 1/7 , y= -0,6
Ответы
Автор ответа:
7
Группируем, выносим общий множитель
Приложения:
Автор ответа:
4
=(14xy-2y) +(7x-1)=2y(7x-1)+(7x-1)=(7x-1)(2y+1)=(7*11/7-1)(2*(-0.6)+1)=(11-1)(-1.2+1)=10*(-0.2)=-2 это правильны1 ответ, поверь, у меня тоже эта тема
Похожие вопросы
Предмет: Математика,
автор: indonezia263
Предмет: Геометрия,
автор: tohtygozaasmina
Предмет: Қазақ тiлi,
автор: lilkobi
Предмет: Математика,
автор: ум1900000
Предмет: Химия,
автор: oleganalla