Предмет: Алгебра,
автор: Aliceeya
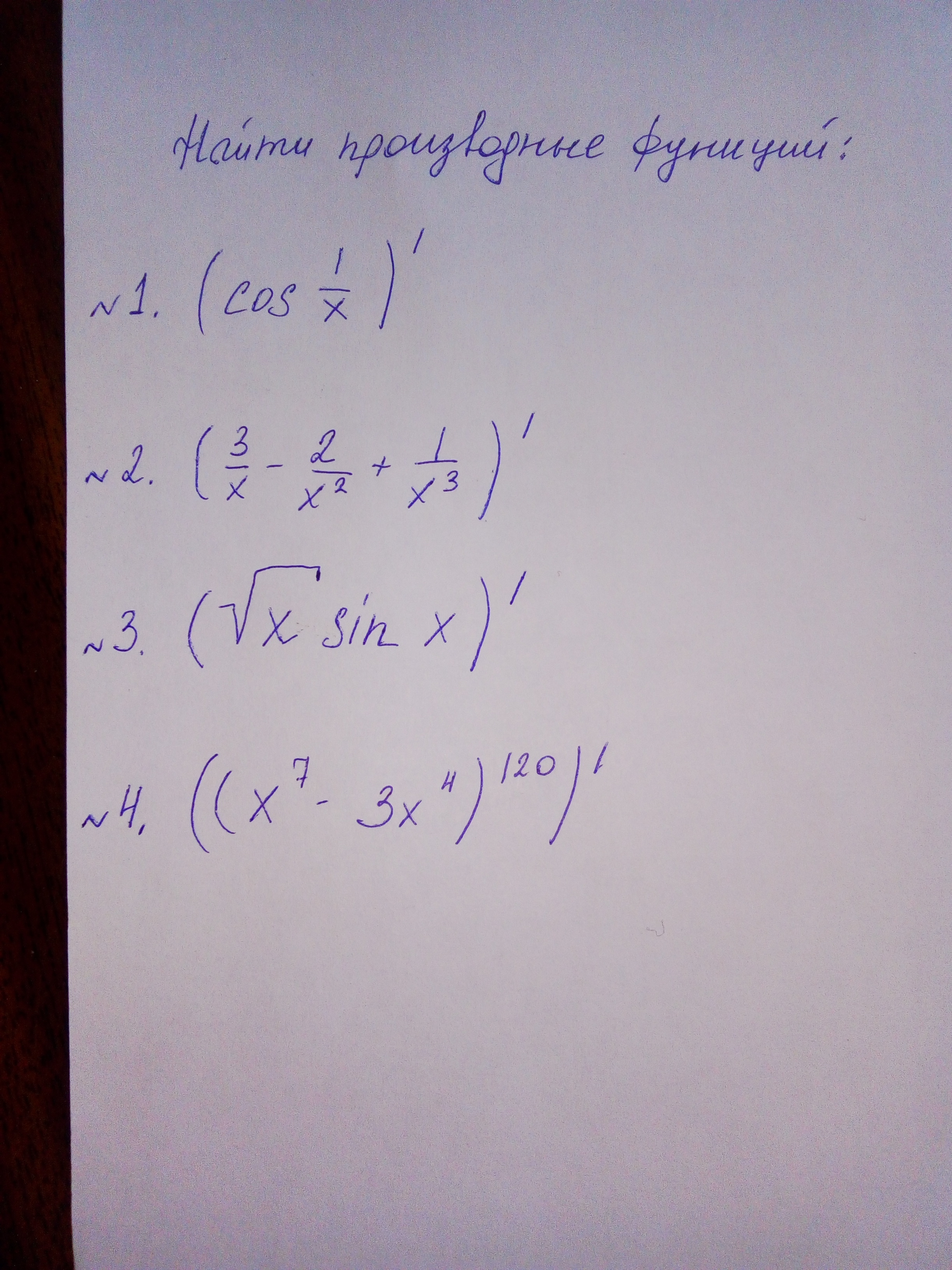
Помогите, пожалуйста, СРОЧНО, отдаю ВСЕ баллы
Приложения:
Ответы
Автор ответа:
1
Если появятся какие-нибудь вопросы — задавайте.
Если моё решение оказалось полезным, смело отмечайте его как «лучший ответ».
Приложения:
Похожие вопросы
Предмет: Математика,
автор: anavasilevna030
Предмет: Математика,
автор: ermakov28rus
Предмет: Русский язык,
автор: glebtuzlukov
Предмет: Математика,
автор: svetlanakuznec4
Предмет: История,
автор: Викторич435