Предмет: Химия,
автор: TamillaKal
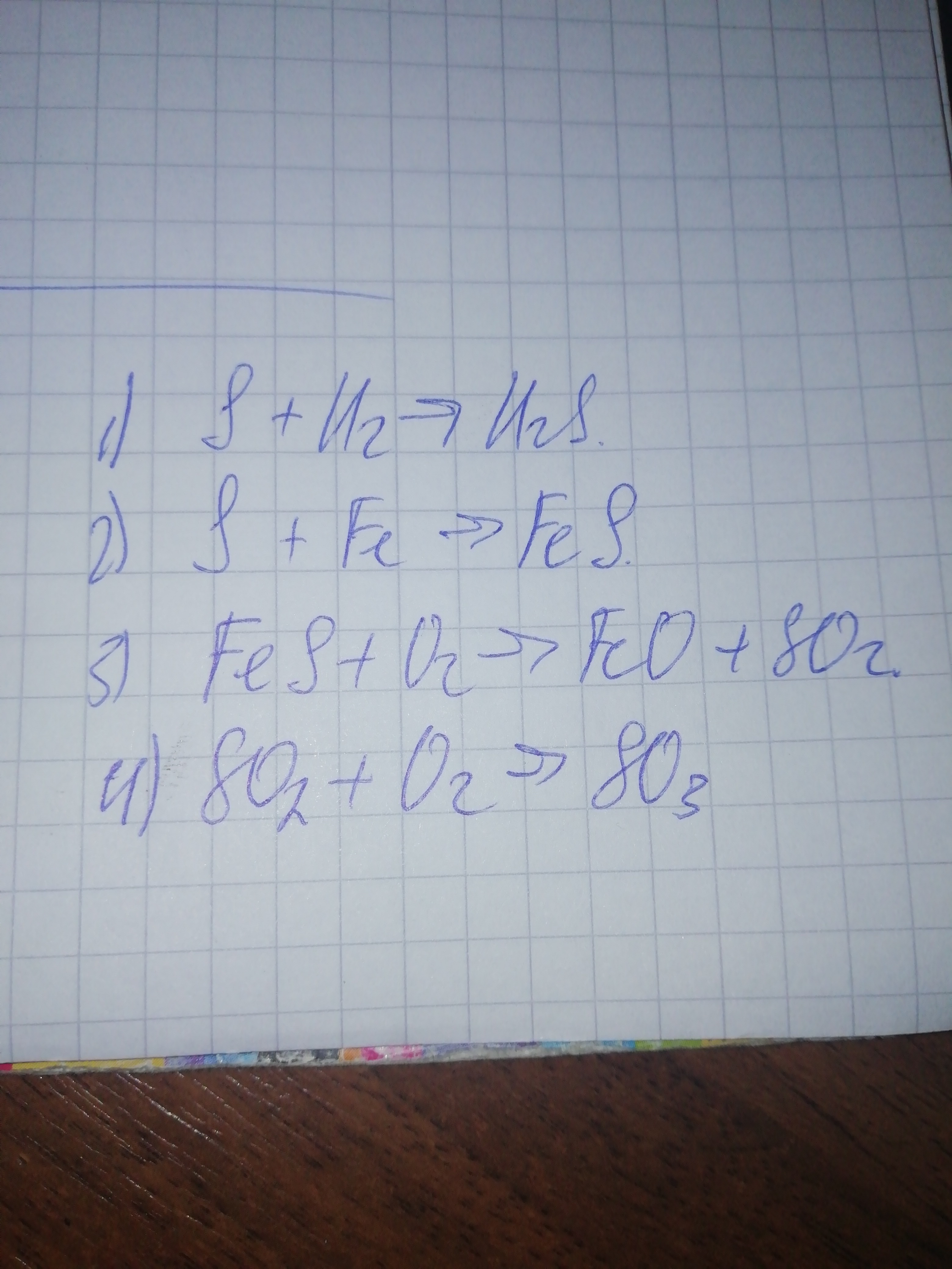
Осуществить превращение:
H2S <- S -> FeS -SO2 -> SO3
Ответы
Автор ответа:
0
Коеф не ставил=) =) =)
Приложения:
Похожие вопросы
Предмет: Экономика,
автор: ermolaevablin
Предмет: Обществознание,
автор: ksusha5718
Предмет: Русский язык,
автор: zaguljaevat
Предмет: Алгебра,
автор: WaDos1
Предмет: Математика,
автор: slava7615