Предмет: Алгебра,
автор: inessalove33
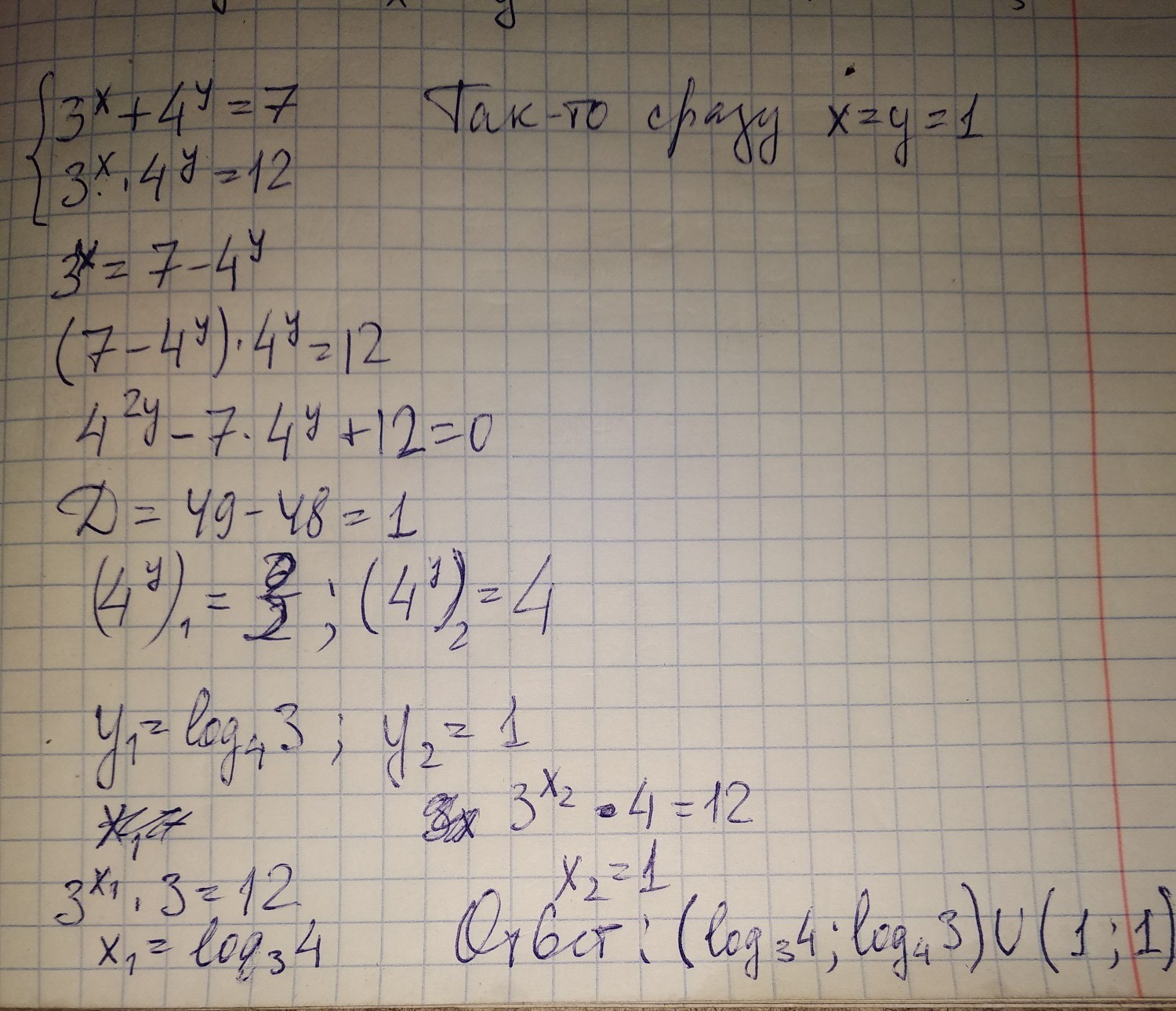
з^х+4^y=7
з^х*4^y=12
Решить систему
Ответы
Автор ответа:
0
Ну как-то вот так...
Приложения:
Похожие вопросы
Предмет: Русский язык,
автор: Mikle2020
Предмет: Математика,
автор: nastyazay0
Предмет: Математика,
автор: alistratov25
Предмет: Математика,
автор: ТАНЯ2205
Предмет: Математика,
автор: привет119