Предмет: Алгебра,
автор: iraramm23
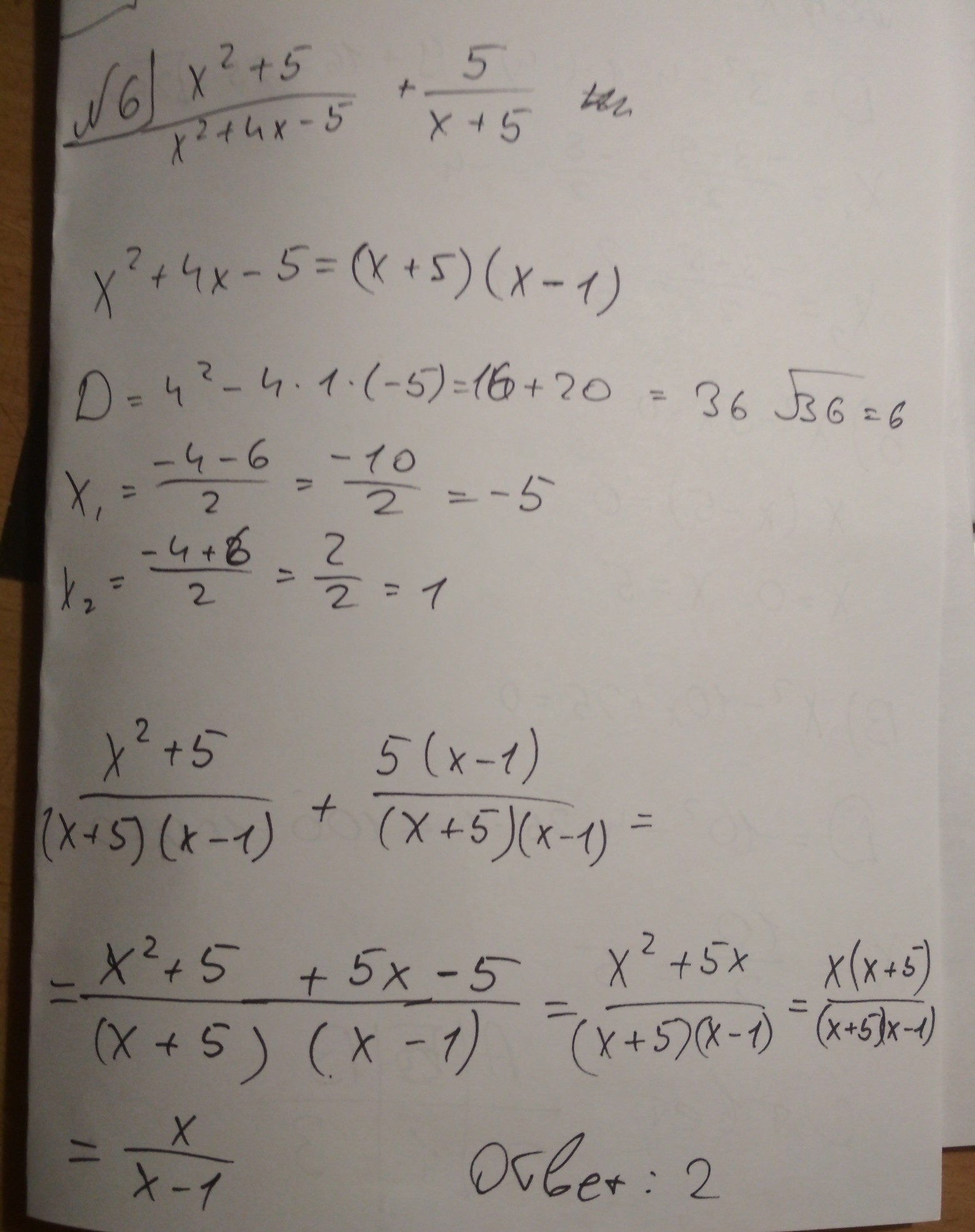
Помогите решить,что сможете
Приложения:
Ответы
Автор ответа:
0
ответы на фото, номера 4 и 7 не знаю
Приложения:
Похожие вопросы
Предмет: Английский язык,
автор: Аноним
Предмет: Математика,
автор: darinaskirdenko69
Предмет: Математика,
автор: Ahhh333
Предмет: Математика,
автор: Kirill121111