Предмет: Математика, автор: Kirill121111

помогитеупростить выражение

Приложения:

Ответы

Автор ответа: гюйс
0
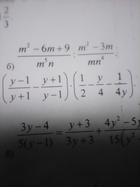
 frac{m^{2}-6m+9 }{m^{5} n} : frac{m^{2} -3m}{mn^{4} }= frac{(m-3)(m-3)}{m^{5}n }* frac{mn^{4} }{m(m-3)}= frac{n^{3}(m-3)}{m^{5} }

/

( frac{y-1}{y+1} - frac{y+1}{y-1})*( frac{1}{2}- frac{y}{4}- frac{1}{4y})=( frac{(y-1)(y-1)-(y+1)(y+1)}{(y-1)(y+1)})( frac{2y-y^{2} -1}{4y})=       frac{y^{2}-2y+1-y^{2}-2y-1}{(y-1)(y+1)}* frac{(y-1)(y-1)}{4y} =- frac{4y}{y+1} * frac{y-1}{4y}=-   frac{y-1}{y+1}

Похожие вопросы
Предмет: Биология, автор: dfra486861