Предмет: Алгебра,
автор: Andryscha
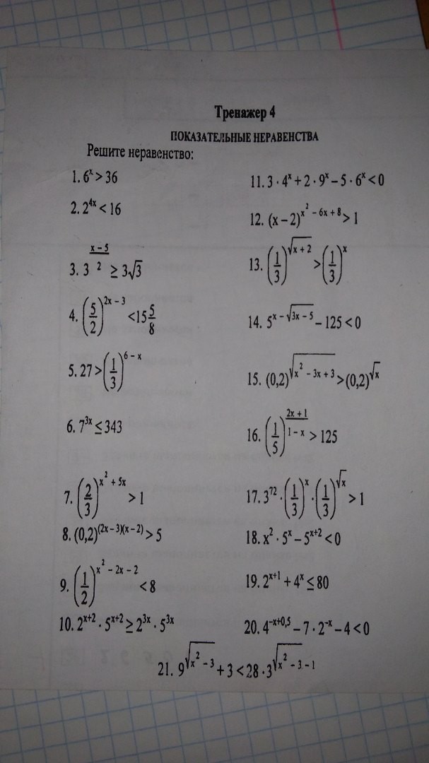
Помогите решить показательные уравнения
Приложения:
Andryscha:
давай любые с 11 по 21, какие лень не будет
Ответы
Автор ответа:
4
Вот решение. Постепенно добавлю и другие
Приложения:
Похожие вопросы
Предмет: Окружающий мир,
автор: supernatalochka7885
Предмет: Математика,
автор: milanaegorova9
Предмет: Физкультура и спорт,
автор: davidkalashyan1
Предмет: Алгебра,
автор: arinova2016