Предмет: Математика,
автор: mrazetta7
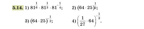
Сделайте, пожалуйста
Приложения:
Ответы
Автор ответа:
2
Вот решение. Я всё розписывала.
Приложения:
Похожие вопросы
Предмет: Физика,
автор: sereginivana
Предмет: Химия,
автор: lotos7771
Предмет: Биология,
автор: cepinecr
Предмет: Математика,
автор: kipisch86
Предмет: Математика,
автор: Йый