Предмет: Математика,
автор: Maksimus2004
Пожалуйста помогите
1) 42 / 1 4/5 - 3/4
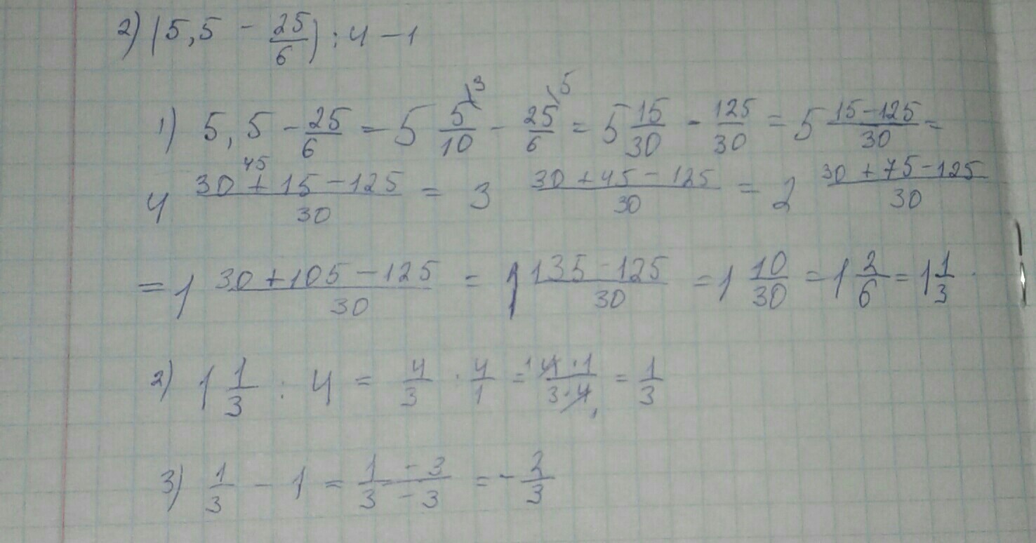
2)(5,5 - 2 5/6) :4 -1
3) 1,2^2 - 0,8^2 / 1,4 -1
helenaal:
Уточните, пожалуйста, условие первого примера!
Можете пожалуйста сфотать задание ,а то не совсем понятно
Ответы
Автор ответа:
1
Вот ответ только на два задания. 3я не розберу.
Приложения:
Похожие вопросы
Предмет: Информатика,
автор: dasab0841
Предмет: Физика,
автор: cifromarketneffos11
Предмет: Физика,
автор: arseeenalpro8899
Предмет: Математика,
автор: lizOkmi