Предмет: Алгебра,
автор: olejka5idorov
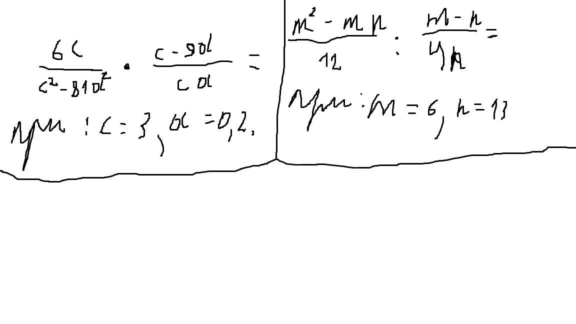
ПОМОГИТЕ ПОЖАЛУЙСТА!!!!! ДАЮ 15 БАЛЛОВ,ТОЛЬКО РЕШИТЕ
Приложения:
Ответы
Автор ответа:
1
Должно быть правильно
Приложения:
Похожие вопросы
Предмет: Английский язык,
автор: daianadyusembaeva
Предмет: Физика,
автор: Аноним
Предмет: Химия,
автор: ludokru
Предмет: Алгебра,
автор: Sherlock1111
Предмет: Алгебра,
автор: gulnurkatpenova