Предмет: Математика,
автор: krutoivladislav
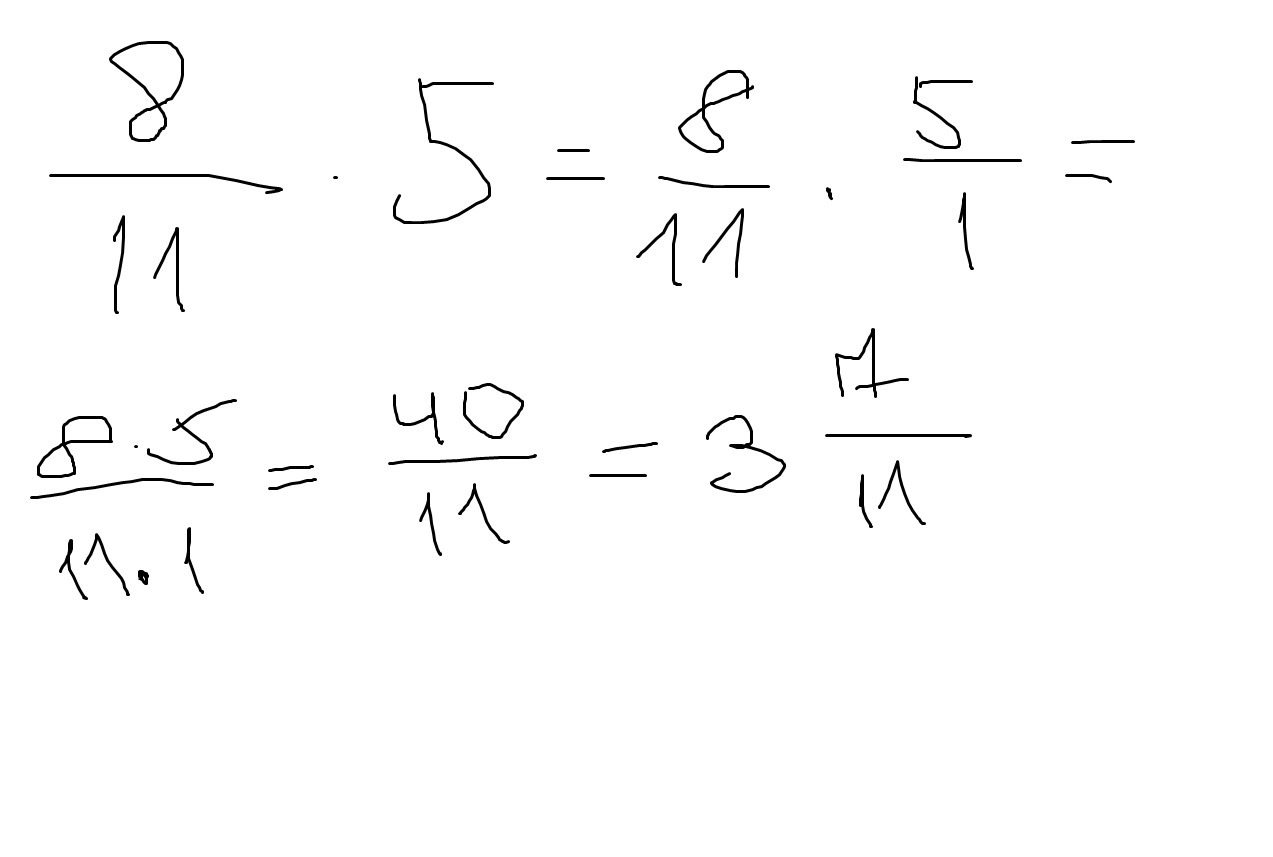
8/11 * 5 целых сколько?
Ответы
Автор ответа:
0
......................................................
Приложения:
Похожие вопросы
Предмет: Математика,
автор: anyacherkasova6
Предмет: Русский язык,
автор: Almazik0078
Предмет: Алгебра,
автор: matvei10petrov
Предмет: Алгебра,
автор: Dima32110
Предмет: Алгебра,
автор: MeGRESS