Предмет: Алгебра,
автор: MeGRESS
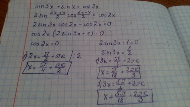
sin5x + sinx = cos2x
Ответы
Автор ответа:
0
Здесь используется формула сложения синусов.
Приложения:
Автор ответа:
0
Благодарю. Можете добавить ответ сюда: http://znanija.com/task/19125768. Если нужны дополнительные баллы)
Похожие вопросы
Предмет: Алгебра,
автор: ЛёнькаСкил777
Предмет: Алгебра,
автор: platonovaangelina200
Предмет: Қазақ тiлi,
автор: angel170906
Предмет: Физика,
автор: ромчиk
Предмет: Математика,
автор: nurailike7778