Предмет: Алгебра,
автор: merikone1
Срочно, пожалуйста. 25 баллов
Приложения:
Ответы
Автор ответа:
0
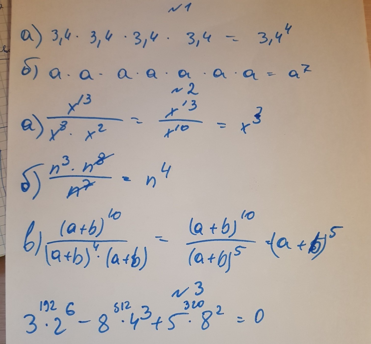
Сори, 4 не помню. А так там все легко
Приложения:
Автор ответа:
0
1,2,3 завдання ......,..............
Приложения:
Похожие вопросы
Предмет: Информатика,
автор: Аноним
Предмет: Математика,
автор: alenakrivonosova802
Предмет: Математика,
автор: Аноним
Предмет: Геометрия,
автор: filippova210320